यू.जी.सी. NTA नेट/जेआरएफ परीक्षा, जून 2023 शारीरिक शिक्षा (PHYSICAL EDUCATION)

Total Questions: 100

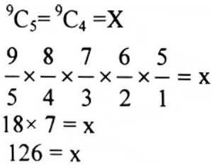
61. द्विपद विस्तार में X का मान क्या होगा?

Correct Answer: (a) 126
Solution:

62. रोस्टनद्वारा प्रदत्त शरीर-रचना के प्रकार कौन से हैं?

A. डाइजेस्टिफ
B. एपॉप्लेक्टिक
C. मस्क्यूलेयर
D. थाइसिक
E. सेरेब्रेल

नीचे दिए गए विकपों में से सही उत्तर का चयन कीजिए।

Correct Answer: (c) केवल A,C, E
Solution:रोस्टन द्वारा प्रदत्त शरीर-रचना को चार प्रकारों में विभाजित किया गया है-

1. डाइजेस्टिफ (Digestif)
2. मस्क्यूलेयर (Muscuaire)
3. रेस्पेरेंटिव (Respirative)
4. सेरेब्रेल (Cerebral)

63. नीचे दो कथन दिए गए हैं: एक अभिकथन (A) के रूप में लिखित है तो दूसरा उसके कारण (R) के रूप में:

अभिकथन (A): भौतिक स्थिति में सुधार प्राथमिक रूप से अतिभार सिद्धांत पर आधारित होती हैं।
कारण (R): अतिभार सिद्धांत के अनुसार जब शरीर की हो रही पर बृद्धि पर मांग रखी जाती है, अनुक्रिया हेतु क्षमता तभी सुधार होता है।

उपरोक्त कथन के आलोक में, नीचे दिए गए विकल्पों में से उपयुक्त उत्तर का चयन कीजिए:

Correct Answer: (a) (A) और (R) दोनों सही हैं और (R), (A) की सही व्याख्या है।
Solution:(A) और (R) दोनों सही है और (R), (A) की सही व्याख्या है।

64. प्रशिक्षण शक्ति स्थायित्व हेतु सूत्र है-

Correct Answer: (c) HV x HI
Solution:प्रशिक्षण शक्ति स्थायित्व हेतु सूत्र - HV × HI

65. निम्नलिखित में से कौन-सा अभ्यास आपको एक समय में एक कौशल पर ध्यान केन्द्रित करने की अनुमति देता है और उससे अगले कौशल की ओर बढ़ने से पूर्व एक वैयक्तिक कौशल के सभी परीक्षणों का पूरा करना सम्मिलित है?

Correct Answer: (b) निरुद्ध अभ्यास
Solution:निरुद्ध अभ्यास - इस अभ्यास में एक समय में एक कौशल पर ध्यान केंद्रित करने की अनुमति देता है और उसमें अगले कौशल की ओर बढ़ने से पूर्व तक वैयक्तिक कौशल सभी कौशल परीक्षणों का पूरा करना सम्मिलित है।

66. यदि श्रेणी क्रम सहसंबंध (P) = 0.80 और व्यक्तियों की संख्या (N) = 10,तो ∑d² का मान क्या होगा?

Correct Answer: (a) 33
Solution:

67. निम्नलिखित में से कौन-सा खुला कौशल का एक उदाहरण है?

Correct Answer: (c) बास्केटबॉल
Solution:

सामान्य तौर पर, खेलों को दो प्रकारों में बाँटा जा सकता है। खुली कौशल वाले खेल और बंद कौशल वाले खेल । खुली कौशल वाले खेलों को उन खेलों के रूप में परिभाषित किया जाता है।

जिनमें खिलाड़ियों को गतिशील रूप से बदलने अप्रत्याशित और बाहरी गति वाले वातावरण जैसे बॉस्केटबाल तलवारवाजी टेनिस आदि में प्रतिक्रिया करने की आवश्यकता होती है। नोट- NTA ने इस प्रश्न का उत्तर विकल्प (d) माना है।

68. सूची-I के साथ सूची-II का मिलान कीजिए।

सूची-I सूची-II
(A) हड्डियाँ(I) नपुंसकता
(B) प्रजनन(II) सोरियासिस
(C) त्वचा(III) परिरेखीय संवहनतंत्र रोग
(D) रुधिर वाहिका(IV) बिंब (डिस्क) अपक्षय (हास)
दिए गए विकल्पों में से सही उत्तर का चयन कीजिए:
कूट:ABCD
(a)IIIIIIIV
(b)IVIIIIII
(c)IIIIVIII
(d)IVIIIIII
Correct Answer: (b)
Solution:सही सुमेलित है-
सूची-I सूची-II
(A) हड्डियाँ(IV) बिंब (डिस्क) अपक्षय (हास)
(B) प्रजनन(I) नपुंसकता
(C) त्वचा(II) सोरियासिस
(D) रुधिर वाहिका(III) परिरेखीय संवहनतंत्र रोग

69. उस सही क्रम को बताइए, जिसमें किस प्रकार हमारे संवेदी आगत ध्यान देने के लिए प्रतिसार्धा करते हैं और उस प्रक्रिया की रूपरेखा बनाते हैं, जिसके द्वारा कौशल का निर्माण किया जाता है।

A. प्रत्यक्षीकरण
B. नीति निर्माण
C. तटस्थ आवेंगों से शरीर के माध्यम से सही अनुक्रिया को प्रारम्भ करना
D. अनुक्रिया

नीचे दिए गए विकपों में से सही उत्तर का चयन कीजिए।

Correct Answer: (d) A, B, C, D
Solution:सही क्रम निम्नलिखित है-

1. प्रत्यक्षीकरण
2. नीति निर्माण
3. तटस्थ आवेगों से शरीर के माध्यम से सही अनुक्रिया को प्रारंभकरना
4. अनुक्रिया

70. सूची-I के साथ सूची-II का मिलान कीजिए।

सूची-I सूची-II
(A) अचिन्ता शिवाली(I) मुक्केबाजी (बाक्सिंग
(B) सुधीर(II) (पैरा टेबल टेनिस)
(C) निखत जरीन(III) भारोत्तोलन (वेटलिप्टिंग)
(D) भाविना पटेल(IV) पैरा पावर लिफ्टिंग
दिए गए विकल्पों में से सही उत्तर का चयन कीजिए:
कूट:ABCD
(a)IIIIIIIV
(b)IIIIIIIV
(c)IIIIVIII
(d)IIIIVIII
Correct Answer: (d)
Solution:सूची का सही सुमेलन निम्नवत है-
सूची-I सूची-II
(A) अचिन्ता शिवाली(III) भारोत्तोलन (वेटलिप्टिंग)
(B) सुधीर(IV) पैरा पावर लिफ्टिंग
(C) निखत जरीन(I) मुक्केबाजी (बाक्सिंग)
(D) भाविना पटेल(II) (पैरा टेबल टेनिस)