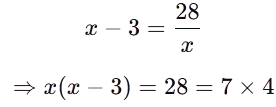
संख्या पद्धति-रेलवे गणित Part-4Total Questions: 5031. किसी संख्या को 280 से विभाजित करने पर शेषफल 73 रहता है। जब उसी संख्या को 35 से विभाजित किया जाता है, तो शेषफल कितना होगा? [RRB NTPC 16/01/2021 (Morning)](a) 3 (b) 4 (c) 2 (d) 7Correct Answer: (a) 3 Solution:वह संख्या जो 280 से विभाज्य है, वह 35 से भी विभाज्य होगी।इसलिए हमें केवल शेष की जाँच करनी है। 73/35 ⇒ शेष=332. यदि एक धनात्मक संख्या में 3 की कमी की जाती है, तो वह संख्या के व्युत्क्रम के 28 गुना के बराबर है, तो संख्या ज्ञात कीजिए। [RRB NTPC 16/01/2021 (Morning)](a) 5 (b) 6 (c) 8 (d) 7Correct Answer: (d) 7Solution:माना संख्या = xप्रश्न के अनुसार, तुलना करने पर हमें x=7 प्राप्त होता है।33. दो संख्याओं का अंतर बड़ी संख्या का 20% है। यदि छोटी संख्या 40 है, तो बड़ी संख्या ज्ञात कीजिए। [RRB NTPC 16/01/2021 (Morning)](a) 45 (b) 60 (c) 40 (d) 50Correct Answer: (d) 50Solution:माना बड़ी संख्या = xप्रश्न के अनुसार, 34. निम्नलिखित में सबसे बड़ा अनुपात ज्ञात कीजिए। [RRB NTPC 16/01/2021 (Morning)](a) 13 : 21 (b) 5 : 18 (c) 15 : 28 (d) 19 : 27Correct Answer: (d) 19 : 27Solution:सभी की तुलना करने पर, सबसे बड़ी परिमेय संख्या =19/27 तो यह सबसे बड़ा अनुपात होगा।35. सबसे छोटी संख्या ज्ञात कीजिए जिसे इसे एक पूर्ण वर्ग बनाने के लिए 63535 से घटाया जाना चाहिए। [RRB NTPC 17/01/2021 (Morning)](a) 25 (b) 31 (c) 30 (d) 41Correct Answer: (b) 31 Solution:36. 99.75 और 0.05554 के उत्पाद पर दशमलव बिंदु के दाईं ओर कितने अंक होंगे? [99.75 और 0.05554 के उत्पाद पर दशमलव बिंदु के दाईं ओर कितने अंक होंगे?](a) 8 (b) 6 (c) 7 (d) 5Correct Answer: (b) 6 Solution: 99.75×0.05554=5.540115 यहाँ 6 अंक दशमलव के दायीं ओर होंगे।37. सबसे छोटी धनात्मक संख्या जिसे 4 अंकों की सबसे बड़ी संख्या में जोड़ा जाना चाहिए ताकि योग 307 से पूरी तरह विभाज्य हो सके? [RRB NTPC 17/01/2021 (Evening)](a) 306 (b) 176 (c) 132 (d) 307Correct Answer: (c) 132 Solution:चार अंकों की सबसे बड़ी संख्या = 9999जब हम 9999 को 307 से भाग देते हैं, तो हमें शेष के रूप में 175 प्राप्त होता है। आवश्यक संख्या = 307 - 175 = 13238. वह छोटी से छोटी पूर्ण वर्ग संख्या ज्ञात कीजिए जिसे 12519 संख्या में जोड़ने पर एक पूर्ण वर्ग संख्या प्राप्त हो जाए। [RRB NTPC 17/01/2021 (Evening)](a) 9 (b) 16 (c) 20 (d) 25Correct Answer: (d) 25Solution:39. वह संख्या जिसके केवल गुणनखण्ड 1 हैं और वह संख्या स्वयं ____ संख्या कहलाती है। [RRB NTPC 18/01/2021 (Morning)](a) संमिश्र (b) अभाज्य संख्या(c) सम (d) विषमCorrect Answer: (b) अभाज्य संख्याSolution:वह संख्या जिसका केवल गुणनखण्ड 1 हो और वह संख्या ही अभाज्य संख्या कहलाती हो।उदाहरण के लिए — 2, 3, 5, 7, …40. यदि 111.....1 (n अंक) 9 से विभाज्य है, तो n का न्यूनतम मान कितना होगा? [RRB NTPC 18/01/2021 (Morning)](a) 9 (b) 3 (c) 18 (d) 12Correct Answer: (a) 9 Solution:यदि 111...1 (n अंक) 9 से विभाज्य है,तब n का मान होगा = 9क्योंकि जैसा कि हम जानते हैं कि 9 से विभाज्य होना है,अंकों का योग = 9 या कोई गुणज होना चाहिए। यहाँ (1 + 1 + 1 + 1 + 1 + 1 + 1 + 1 + 1) = 9तो, अतः n का न्यूनतम मान = 9Submit Quiz« Previous12345Next »