संख्या पद्धति-रेलवे गणित Part-5

Total Questions: 50

11. एक गणितीय समस्या को हल करते समय, अतुल ने प्रारंभिक संख्या का वर्ग किया और फिर उसमें से 15 घटा दिया। प्रतुल ने पहले प्रारंभिक संख्या में से 15 घटाया और फिर अंतर का वर्ग किया। यदि दोनों को समान उत्तर प्राप्त हुआ है, तो प्रारंभिक संख्या क्या थी? [RRB NTPC 23/01/2021 (Evening)]

Correct Answer: (a) 8
Solution:

माना प्रारंभिक संख्या = x
x² - 15 = (x - 15)²
⇒ x² - 15 = x² + 225 - 30x
⇒ 30x = 240 ⇒ x = 8

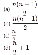
12. प्रथम ‘n’ प्राकृतिक संख्याओं का योग कितना है [RRB NTPC 23/01/2021 (Evening)]

Correct Answer: (a)
Solution:

प्रथम ‘n’ प्राकृतिक संख्याओं का योग = n(n+1)/2

13. यदि एक धनात्मक संख्या N को 5 से विभाजित करने पर 3 शेष बचता है, तो N के इकाई के स्थान का अंक है [RRB NTPC 25/01/2021 (Morning)]

Correct Answer: (c) 3 या 8
Solution:प्रश्न के अनुसार,
N ÷ 5 = 3
उदाहरण: 8 ÷ 5 = 3, 13 ÷ 5 = 3

14. एक संख्या को 2 से गुणा करने के बजाय, राहुल ने उसे 2 से विभाजित किया और उसे उत्तर 2 मिला। वास्तविक उत्तर क्या होना चाहिए? [RRB NTPC 25/01/2021 (Morning)]

Correct Answer: (c) 8
Solution:

माना संख्या = x
प्रश्न के अनुसार,
x/2 = 2 x =4
वास्तविक उत्तर = 2x = 2 × 4 = 8

15. 200 से 1000 के बीच ऐसी कितनी संख्याएँ हैं जो 7 से पूर्णतः विभाज्य हैं? [RRB NTPC 25/01/2021 (Morning)]

Correct Answer: (c) 114
Solution:1000 और 200 के बीच का अंतर = 800
800 को 7 से विभाजित किया जाता है तो हमें 114 पूर्ण मान के रूप में मिलता है और शेष 2 है।
तो, 200 से 1000 के बीच की 114 संख्याएँ 7 से पूरी तरह विभाज्य होंगी।

16. (41⁴³ +43⁴³ ) किस से विभाजित हो सकती है? [RRB NTPC 25/01/2021 (Evening)]

Correct Answer: (a) 84
Solution:

हम जानते हैं कि जब ‘m’ एक विषम संख्या है तो (xᵐ+aᵐ) (x+ a) से विभाज्य है।
प्रत्येक (41 + 43) से विभाज्य है।
अतः उपयुक्त गुणनखंड = (41 + 43) = 84

17. 516372 में 6 के स्थानीय मान और जातीय मान के बीच अंतर ज्ञात कीजिए। [RRB NTPC 25/01/2021 (Evening)]

Correct Answer: (a) 5994
Solution:516372 में 6 का जातीय मान = 6
और 6 का स्थानिक मान = 6000
516372 में 6 के स्थानिक मान और जातीय मान के बीच अंतर =6000 - 6 = 5994

18. छह अंकों की सबसे बड़ी और सबसे छोटी संख्या के बीच का अंतर कितना है? [RRB NTPC 27/01/2021 (Morning]

Correct Answer: (b) 899999
Solution:छः अंकों की सबसे बड़ी संख्या = 999999
छः अंकों की सबसे छोटी संख्या = 100000
सबसे बड़े और सबसे छोटे के बीच का अंतर = 999999 - 100000 = 899999

19. चार अंकों की सबसे बड़ी संख्या, जिसे 6, 12 और 18 से विभाजित करने पर प्रत्येक स्थिति में वही शेषफल 5 प्राप्त होता है। [RRB NTPC 27/01/2021 (Morning)]

Correct Answer: (a) 9977
Solution:6, 12 और 18 से विभाज्य सबसे छोटी संख्या → LCM(6, 12, 18) = 36
जब 4 अंकों की सबसे बड़ी संख्या को 36 से विभाजित किया जाता है तो भागफल 277 प्राप्त होता है और शेषफल → 27
तो, संख्या 9999 - 27 = 9972
प्रश्न के अनुसार,
अभिष्ट संख्या = 9972 + 5 = 9977

20. तीन अंकों की सबसे बड़ी संख्या और चार अंकों की सबसे बड़ी संख्या के बीच कितनी संख्याएँ हैं जो 5 से विभाज्य हैं? [RRB NTPC 27/01/2021 (Evening)]

Correct Answer: (c) 1800
Solution:

तीन अंकों की सबसे बड़ी संख्या = 999
चार अंकों की सबसे बड़ी संख्या = 9999
अंतर = 9999 - 999 = 9000
5 से विभाज्य संख्याएँ = 9000/5=1800