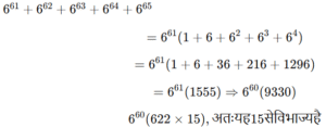
संख्या पद्धति-रेलवे गणित Part- 8Total Questions: 5011. (127)¹⁵³ × (341)⁸⁹ के गुणनफल में इकाई का अंक ज्ञात कीजिए। [RRB NTPC 19/03/2021 (Evening)](a) 5 (b) 3 (c) 4 (d) 7Correct Answer: (d) 7Solution:(127)¹⁵³ ×(341)⁸⁹153 ÷ 4 = शेषफल = 1इकाई अंक = 7¹×1=712. 13 का वह लघुत्तम गुणज ज्ञात कीजिए, जिसे 4, 5, 6, 7 और 8 से भाग देने पर प्रत्येक स्थिति में 2 शेष बचे। [RRB NTPC 19/03/2021 (Evening)](a) 2824 (b) 2522(c) 2142 (d) 2422Correct Answer: (b) 2522Solution:(4, 5, 6, 7, 8) का LCM = 840 संख्या 13 की गुणज और शेषफल = 2 होनी चाहिए, यह 840k + 2 के रूप में होगीk = 3 रखने पर,840×3+2=252213. 3 अंकों की कितनी संख्याएँ 7 से विभाज्य हैं? [RRB NTPC 21/03/2021 (Morning)](a) 126 (b) 128(c) 125 (d) 130Correct Answer: (b) 128Solution:3 अंकों की संख्या जो 7 से विभाज्य है = 105, 112, 119…, 994 14. 6⁶¹+ 6⁶²+ 6⁶³ + 6⁶⁴ + 6⁶⁵ पूरी तरह से विभाजित है: [RRB NTPC 21/03/2021 (Morning)](a) 17 (b) 13 (c) 11 (d) 15Correct Answer: (d) 15Solution:15. वह छोटी से छोटी संख्या ज्ञात कीजिए जिसे 72, 80 और 88 से विभाजित करने पर क्रमशः 52, 60, 68 शेषफल प्राप्त होता है। [RRB NTPC 21/03/2021 (Morning)](a) 7940 (b) 7900(c) 7930 (d) 7920Correct Answer: (b) 7900Solution:यहाँ (72 - 52) = 20, (80 - 60) = 20 और (88 - 68) = 20आवश्यक संख्या (72, 80 और 88 का LCM) - 20 = 7920 - 20 ⇒ 790016. 100 और 300 के बीच कितनी संख्याएँ 7 से विभाज्य हैं? [RRB NTPC 21/03/2021 (Evening)](a) 30 (b) 28(c) 27 (d) 29Correct Answer: (b) 28Solution:100 और 300 के बीच की कुल संख्या = 200अब, 200/7=28 (भागफल)28, संख्याएँ 7 से विभाज्य हैं।17. कुणाल को एक संख्या का 5/6 गुणा ज्ञात करने के लिए कहा गया था। उसने इसे 6/5 से गुणा किया, परिणामस्वरूप, उसे उत्तर मिला जो सही उत्तर से 572 अधिक था। संख्या थी: [RRB NTPC 21/03/2021 (Evening)](a) 2860 (b) 5720 (c) 1560(d) 2160Correct Answer: (c) 1560Solution:माना संख्या = xप्रश्न के अनुसार, 18. 5, 35, 39 और 65 से विभाज्य चार अंकों की सबसे बड़ी संख्या है: [RRB NTPC 21/03/2021 (Evening)](a) 9994 (b) 9505 (c) 9055 (d) 9555Correct Answer: (d) 9555Solution:चार अंकों की सबसे बड़ी संख्या = 9999(5, 35, 39, 65) का LCM = 1365जब हम 9999 को 1365 से भाग देते हैं, तो हमें शेषफल मिलता है = 444अब, 9999 - 444 = 955519. निम्नलिखित में से कौन-सी एक परिमेय संख्या है? [RRB NTPC 27/03/2021 (Morning)](a)(b)(c)(d)Correct Answer: (d)Solution:= 2 + 1/8 + 1 ⇒ 3 + 1/8 = (24 + 1)/8 = 25/8 यह एक परिमेय संख्या है20. वह सबसे बड़ी संख्या ज्ञात कीजिए जो 285 और 1249 को विभाजित करने पर क्रमशः 9 और 7 शेषफल देती है। [RRB NTPC 27/03/2021 (Morning)](a) 140 (b) 138(c) 130 (d) 141Correct Answer: (b) 138Solution:285 - 9 = 2761249 - 7 = 1242276 और 1242 का HCF = 138Submit Quiz« Previous12345Next »