संख्या पद्धति-रेलवे गणित

Total Questions: 50

11. दिए गए समुच्चय के पदों को किस प्रकार तीन समुच्चयों में पुनर्व्यवस्थित किया जा सकता है, ताकि प्रत्येक समुच्चय के दो पदों का योगफल बराबर हो ? [NTPC CBT II Level 5 (15/06/2022) Shift 2 (947, 861, 1304, 1218, 1378, 787)]

Correct Answer: (b) (947, 1218), (861, 1304), (787, 1378)
Solution:

12. एक सभागार में 6889 विद्यार्थी इस प्रकार बैठे हैं कि एक पंक्ति में उतने ही विद्यार्थी हैं जितने कि सभागार में पंक्तियाँ हैं। सभागार में कितनी पंक्तियाँ हैं? [NTPC CBT-1 29/12/2020 (Morning)]

Correct Answer: (c) 83
Solution:

13. यदि 1²+ 2² + 3² +.............+14² = 1015, तो 3² + 6² +9² ........+42² का मान है [NTPC CBT-1 29/12/2020 (Morning)]

Correct Answer: (a) 9135
Solution:

14. निम्नलिखित में से कौन एक परिमेय संख्या नहीं है? [NTPC CBT-1 05/01/2021 (Morning)]

√(3²+4²) , √12.96 , √125 and √900

Correct Answer: (b) √125
Solution:

15. 23 के सबसे छोटे गुणज को 18, 21 और 24 से विभाजित करने पर क्रमश: 7, 10 और 13 शेषफल प्राप्त होता है। संख्या क्या होगी ? [NTPC CBT-1 07/01/2021 (Morning)]

Correct Answer: (b) 3013
Solution:

यहाँ (18 - 7) = (21 - 10)
= (24-13) = 11,
18, 21, 24 का लघुतम समापवर्त्य = 504 ,
तो, 23 का सबसे छोटा गुणज जब 18, 21 और
24 से विभाजित होता है तो शेषफल क्रमशः 7, 10
और 13 बचता = 504k - 11 [ यहाँ
k = 1, 2, 3 ,....]
अब हम लिख सकते हैं:
504k - 11 = 483k + 21k - 11 [जहाँ
483, 23 से विभाज्य है, इसलिए हमें ज्ञात करना
होगा कि k का कौन सा मान (21k - 11), 23 से
विभाज्य होगा।
अगर हम k = 6 डालते हैं,
21k - 11 = 126 - 11 = 115 (115, 23
से विभाज्य है)
तो, 23 का सबसे छोटा गुणज जब 18, 21 और
24 से विभाजित होता है तो शेषफल क्रमशः 7, 10
और 13 रहता = 504k - 11 = 504 × 6 - 11
= 3024 -11 = 3013

16. 301 से 399 तक की गणना में कितनी बार अंक 3 आता है? [NTPC CBT-1 10/01/2021 (Evening)]

Correct Answer: (b) 119
Solution:

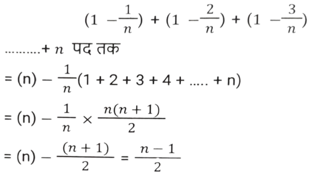
17. सरल कीजिए ?

Correct Answer: (d) (n-1/2)
Solution:

18. प्रतियोगी परीक्षा में सही उत्तर के लिए 1 अंक, अनुत्तरित के लिए 0 अंक और प्रत्येक गलत उत्तर के लिए 1/2 अंक काटे जाते हैं। अंबिका ने 120 प्रश्नों के उत्तर दिए और 90 अंक प्राप्त किए। कितने उत्तर सही थे? [NTPC CBT-1 10/01/2021 (Evening)]

Correct Answer: (c) 100
Solution:

19. यदि a,b,c,d और e बायें से शुरू होने वाली किसी संख्या के अंक हैं, तो संख्या क्या है? [NTPC CBT-1 04/02/2021 (Morning)]

Correct Answer: (d) 10⁴a + 10⁴b + 10⁴c + 10d + e
Solution:

20. महल में 40 व्यक्ति हैं। यदि प्रत्येक व्यक्ति हर दूसरे व्यक्ति से हाथ मिलाता है, तो हाथ मिलाने की कुल संख्या कितनी होगी? [NTPC CBT-1 21/01/2021 (Morning)]

Correct Answer: (a) 780
Solution:

हाथ मिलाने की कुल संख्या