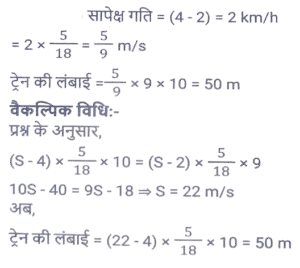
समय ,चाल और दूरी (Part-II)Total Questions: 5011. एक व्यक्ति को 1 घंटे में 8 km की दूरी तय करनी है। यदि वह कुल समय के एक-तिहाई समय में, एक चौथाई दूरी तय करता है, तो शेष दूरी को शेष समय में तय करने के लिए उसकी चाल (km/h में) कितनी होनी चाहिए ताकि वह व्यक्ति ठीक समय पर गंतव्य पर पहुंच जाए ? [SSC MTS 07/10/2024 (Evening)](a) 6(b) 8(c) 9(d) 7Correct Answer: (c) 9Solution:12. एक चोर ने एक पुलिसकर्मी को देखा और वह 12 m/s की चाल से भागने लगा। एक निश्चित समय के बाद पुलिसकर्मी 18 m/s की चाल से चोर के पीछे दौड़ना शुरू करता है। यदि पुलिसकर्मी चोर को पकड़ने के लिए 540 m की दूरी तय करता है, तो कितने समय (सेकंड में) के बाद पुलिसकर्मी दौड़ना शुरू करता है ? [SSC MTS 08/10/2024 (Morning)](a) 10(b) 12(c) 15(d) 18Correct Answer: (c) 15Solution:13. 96 km की यात्रा के लिए एक तेज़ ट्रेन, धीमी ट्रेन से 1 घंटे कम समय लेती है। यदि धीमी ट्रेन की चाल तेज ट्रेन की चाल से 8 km/h कम है, तो क्रमशः तेज ट्रेन और धीमी ट्रेन की चाल ज्ञात कीजिए। [SSC MTS 08/10/2024 (Evening)](a) 26 km/h, 34 km/h(b) 32 km/h, 24 km/h(c) 34 km/h, 28 km/h(d) 12 km/h, 14 km/hCorrect Answer: (b) 32 km/h, 24 km/hSolution:14. राधा घर से 5 km दुर अपने कार्यालय जाती है। सुबह के समय वह 1 घंटे में दूरी तय करती है, जबकि शाम को घर लौटते समय, वह उसी दरी को तय करने में 15 मिनट अधिक लेती है। दोनों ओर की यात्रा के दौरान उसकी औसत चाल (km/h में) ज्ञात कीजिए। [SSC MTS 09/10/2024 (Afternoon)](a)(b)(c)(d)Correct Answer: (b)Solution:15. एक रेलगाड़ी उत्तर से दक्षिण दिशा की ओर जा रही है। यह रेलगाड़ी, समान दिशा में क्रमशः 2 km/h और 4 km/h की चाल से चल रहे राज और मधुर से 9 सेकंड और 10 सेकंड में आगे निकल जाती है। यदि रेलगाड़ी की लंबाई x मीटर है, तो x का मान ज्ञात कीजिए। [SSC MTS 09/10/2024 (Evening)](a) 70(b) 50(c) 30(d) 90Correct Answer: (b) 50Solution:16. एक व्यक्ति 400 km के दौरे पर, पहले 120 km को 80 km/h की चाल से और अगले 150 km को 75 km/h की चाल से तय करता है। यदि उसे दौरे में 5 घंटे से कम समय लगाना हो, तो शेष दूरी के लिए उसे कितनी न्यूनतम चाल से यात्रा करनी होगी ? [SSC MTS 16/10/2024 (Morning)](a) 90.21 km/h(b) 84.72 km/h(c) 86.66 km/h(d) 88.56 km/hCorrect Answer: (c) 86.66 km/hSolution:17. एक व्यक्ति एक आयताकार मैदान के अनुदिश चलता है, जिसकी लंबाई 6 km और चौड़ाई 3 km है। पहले 1 घंटे के लिए, वह 2 km/hr की चाल से चलता है। 1 घंटे के बाद, वह अपनी चाल बढ़ाकर 4 km/hr कर देता है। अगले 1 घंटे में उसकी चाल घटकर 2 km/hr हो जाती है। अगले 1 घंटे के लिए, वह अपनी चाल बढ़ाकर 4 km/hr कर देता है। उसकी औसत चाल (km/hr में) ज्ञात कीजिए। [SSC MTS 18/10/2024 (Evening)](a) 5(b) 4(c) 3(d) 2Correct Answer: (c) 3Solution:18. A और B के बीच की दूरी 1200 किलोमीटर है। यदि वे एक ही समय पर एक-दूसरे की ओर बढ़ना शुरू करते है, तो वे 24 घंटे में मिलेंगे। यदि A, B के 10 घंटे बाद प्रारंभ करता है, तो वे 20 घंटे और अधिक बाद में मिलेंगे। उनकी क्रमशः चाल क्या हैं? [SSC MTS 21/10/2024 (Afternoon)](a) 30 किलोमीटर/घंटा, 20 किलोमीटर/घंटा,(b) 25 किलोमीटर/घंटा, 35 किलोमीटर/घंटा(c) 35 किलोमीटर/घंटा, 25 किलोमीटर/घंटा(d) 40 किलोमीटर/घंटा, 25 किलोमीटर/घंटा,Correct Answer: (a) 30 किलोमीटर/घंटा, 20 किलोमीटर/घंटा,Solution:19. तीन ट्रेनों की चाल 5:3:7 के अनुपात में है। समान दूरी तय करने में उनके द्वारा लिए गए समय का अनुपात क्या होगा ? [SSC MTS 11/11/2024 (Afternoon)](a)(b)(c)(d)Correct Answer: (c)Solution:20. A, X से 9:00 A.M. पर चलना आरंभकरता है और 1:00 P.M. पर Y तक पहुँचता है, उसी दिन B भी Y से 9:00A.M. पर चलना आरंभकरता है और उसी दिन 3:00P.M. पर X तक पहुँचता है और A के समान रास्ते की ओर ही जाता है। दोनों किस समय पर मिलते हैं ? [SSC MTS 12/11/2024 (Afternoon)](a) 11:30 Α.Μ.(b) 11:12 Α.Μ.(c) 11:24 Α.Μ.(d) 10:00 Α.Μ.Correct Answer: (c) 11:24 Α.Μ.Solution:Submit Quiz« Previous12345Next »