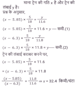
समय ,चाल और दूरी (Part-V)Total Questions: 5021. दो मोटर चालक एक निश्चित गंतव्य की यात्रा के लिए एक साथ, एक 4 km/h की चाल से और दूसरा 6 km/h की चाल से चलना शुरू करते हैं। उनके द्वारा तय की गई दूरी (km में) ज्ञात कीजिए, यदि 4 km/h की चाल से चलने वाला मोटर चालक, दूसरे मोटर चालक से आधे घंटे बाद गंतव्य पर पहुंचता है। [SSC CGL 27/07/2023 (1st shift)](a) 8(b) 5(c) 6(d) 4Correct Answer: (c) 6Solution:22. एक व्यक्ति एक निश्चित चाल से एक निश्चित दूरी तय करता है। यदि कोई दूसरा व्यक्ति तीन गुना समय में 25% दूरी तय करता है, तो पहले व्यक्ति की चाल और दूसरे व्यक्ति की चाल का अनुपात क्या है? [SSC CGL 27/07/2023 (2nd shift)](a) 1:6(b) 1:12(c) 6:1(d) 12:1Correct Answer: (d) 12:1Solution:23. एक ट्रेन प्लेटफॉर्म पर खड़े व्यक्ति को पार करने में 7 सेकंड का समय लेती है और दूसरी ट्रेन जिसकी लंबाई पहली ट्रेन से दोगुनी है और विपरीत दिशा में चलती है, व्यक्ति को पार करने में 10 सेकंड का समय लेती है। ट्रेनों द्वारा एक दूसरे को पार करने में कितना समय (सेकंड में, निकटतम पूर्णांक तक) लगा होगा? [Graduate Level 30/06/2023 (Shift - 1)](a) 8(b) 9(c) 10(d) 12Correct Answer: (b) 9Solution:24. एक मालगाड़ी, स्थिर चाल से यात्रा करते हुए, एक ही दिशा में (ट्रेन की दिशा में चल रहे दो व्यक्तियों को क्रमशः 11.6 सेकंड और 11.8 सेकंड में पार करती है। पहला व्यक्ति 5.85 km/h की चाल से चल रहा था, जबकि दूसरा 6.3 km/h की चाल से चल रहा था। ट्रेन की चाल (km/h में) क्या थी? [Higher Secondary 27/06/2023 (Shift - 3)](a) 32.5(b) 32.6(c) 32.4(d) 32.2Correct Answer: (c) 32.4Solution:25. एक बस 50 मिनट में किसी दूरी को तय करने के लिए 60 km/h की चाल से चल रही है। यात्रा समय को 20 मिनट तक कम करने के लिए, बस को किस चाल (km/h में) से चलना चाहिए? [Matriculation Level 27/06/2023 (Shift - 2)](a) 120(b) 90(c) 140(d) 150Correct Answer: (d) 150Solution:26. एक बस 45 मिनट में 45 km की दूरी तय करती है। यदि इसकी चाल को 20 km/hr कम कर दिया जाए, तो समान दूरी तय करने में इसे कितना समय लगेगा ? [SSC MTS 02/05/2023 (Morning)](a) 62.5 मिनट(b) 67.5 मिनट(c) 78.5 मिनट(d) 72.5 मिनटCorrect Answer: (b) 67.5 मिनटSolution:27. एक व्यक्ति को एक स्थान तक पैदल जाने और वहाँ से पैदल वापस आने में 6 घंटे का समय लगता है। यदि वह दोनों ओर गाड़ी से जाता तो 2 घंटे का समय बचा सकता था। पूरी यात्रा में तय की गई दूरी 20 मील है। यदि वह पैदल जाता है और गाड़ी से वापस आता है, तो पूरी यात्रा के दौरान उसकी औसत चाल कितनी है ? [SSC MTS 02/05/2023 (Morning)](a) 8 मील/घंटा(b) 5 मील/घंटा(c) 6 मील/घंटा(d) 4 मील/घंटाCorrect Answer: (d) 4 मील/घंटाSolution:28. यदि अमन अपनी सामान्य चाल से 12.5 प्रतिशत कम चाल से यात्रा करता है, तो वह 9 मिनट देर से पहुँचेगा। उसके द्वारा लिया जाने वाला सामान्य समय क्या है ? [SSC MTS 04/05/2023 (Afternoon)](a) 63 मिनट(b) 70 मिनट(c) 56 मिनट(d) 49 मिनटCorrect Answer: (a) 63 मिनटSolution:29. एक व्यक्ति 2.5 km प्रति घंटे की चाल से 10 km चलता है, फिर 5 km प्रति घंटे की चाल से 10 km दौड़ता है और फिर 30km प्रति घंटे की चाल से बस से 30km का सफर करता है। व्यक्ति की औसत चाल क्या है ? [SSC MTS 08/05/2023 (Morning)](a) 9 kmph(b) 8.25 kmph(c) 7.14 kmph(d) 7 kmphCorrect Answer: (c) 7.14 kmphSolution:30. एक ट्रक एक निश्चित चाल से 540 km की दूरी 9 घंटे में तय करता है। यदि एक कार की औसत चाल इस ट्रक की चाल से 16 km/hr अधिक है, तो ट्रक द्वारा तय की गई दूरी से 68 km अधिक दूरी तय करने में कार को कितना समय लगेगा ? [SSC MTS 08/05/2023 (Evening)](a) 10 घंटें(b) 8 घंटें(c) 6 घंटें(d) 12 घंटेंCorrect Answer: (b) 8 घंटेंSolution:Submit Quiz« Previous12345Next »