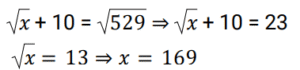
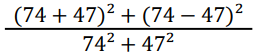
सरलीकरण Part-11Total Questions: 5011. यदि y = 5 है, तो 10y √y³ – y² का मान क्या होगा ? [RRB NTPC 22/02/2021 (Morning)](a) 500 (b) 50√2 (c) 100 (d) 200√5Correct Answer: (a) 500 Solution:12. भिन्न 15/19 के अंश और हर दोनों में से कौन-सी संख्या घटाई जाए जिससे वह 3/4 हो जाए ? [RRB NTPC 22/02/2021 (Morning)](a) 6 (b) 3(c) 9 (d) 5Correct Answer: (b) 3Solution:13. आप 3.33 घंटे को घंटे, मिनट और सेकंड में कैसे लिखेंगे ? [RRB NTPC 22/02/2021 (Evening)](a) 3 घंटे, 19 मिनट, 48 सेकंड(b) 3 घंटे, 30 मिनट, 3 सेकंड(c) 3 घंटे, 33 मिनट(d) 3 घंटे, 30 मिनट, 30 सेकंडCorrect Answer: (a) 3 घंटे, 19 मिनट, 48 सेकंडSolution:14. मान ज्ञात कीजिये ? [RRB NTPC 22/02/2021 (Evening)](a) 32 (b) 28 (c) 30(d) 26Correct Answer: (c) 30Solution:15. निम्नलिखित को हल कीजिये [RRB NTPC 22/02/2021 (Evening) ](a)(b)(c)(d)Correct Answer: (b)Solution:16. यदि x¹¹ = y⁰ और x = 2y तो y का मान क्या है ? [RRB NTPC 22/02/2021 (Evening)](a) 1 (b) -1 (c) -2 (d) ½Correct Answer: (d) ½Solution:17. निम्नलिखित में से कौन-सी भिन्न सबसे छोटी है ? [RRB NTPC 23/02/2021 (Morning)](a) 7/8 (b) 10/7(c) 5/7 (d) 3/4Correct Answer: (b) 10/7Solution:18. यदि √x + 10 = √529 तो x का मान ज्ञात कीजिये ? [RRB NTPC 23/02/2021 (Morning)](a) 166 (b) 169(c) 168 (d) 167Correct Answer: (b) 169Solution:19. मान ज्ञात कीजिये ? [RRB NTPC 23/02/2021 (Morning)](a) 2 (b) 47 (c) 1 (d) 74Correct Answer: (a) 2 Solution:20. मान ज्ञात कीजिये ? [RRB NTPC 23/02/2021 (Morning)](a)(b)(c)(d)Correct Answer: (c)Solution:Submit Quiz« Previous12345Next »