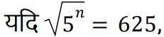
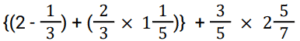
सरलीकरण Part-12Total Questions: 5011. सरल करे : [ RRB NTPC 07/03/2021 (Evening) ](a)(b)(c)(d)Correct Answer: (d)Solution:12. मान ज्ञात करें [ RRB NTPC 07/03/2021 (Evening) ](a) 5(b) 14(c) 11(d) 15Correct Answer: (c) 11Solution:13. सरल करें : (0.2)³ - (0.02)³ [RRB NTPC 07/03/2021 (Evening)](a) 0.001002 (b) 0.002992 (c) 0.007992(d) 0.009992Correct Answer: (c) 0.007992Solution:14. का वगमूल है : [ RRB NTPC 07/03/2021 (Evening) ](a) 12/7 (b) 16/7 (c) 15/7 (d) 17/7Correct Answer: (d) 17/7Solution:15. निम्नलिखित को हल करें। [RRB NTPC 08/03/2021 (Morning)](a) 52(b) 8(c) 52.8(d) 4Correct Answer: (c) 52.8Solution:16. मान ज्ञात कीजिए [ RRB NTPC 08/03/2021 (Morning) ](a) 12(b) 2(c) 3(d) 4Correct Answer: (d) 4Solution:17. निम्नलिखित को हल करें। [RRB NTPC 08/03/2021 (Morning)]7/77 × 7777077 = ?(a) 7007007 (b) 707007(c) 70707 (d) 707070Correct Answer: (b) 707007Solution:18. 0.27 और 3.54 का गुणनफल 5.743 से कितना कम है ? [RRB NTPC 08/03/2021 (Morning)](a) 0.7558(b) 3.89(c) 5.742(d) 4.7872Correct Answer: (d) 4.7872Solution:0.27 और 3.54 का गुणनफल = 0.9558; तब 0.27 और 3.54 का गुणनफल 5.743 से 4.7872 कम है;19. तो n का मान है: [ RRB NTPC 08/03/2021 (Evening) ](a) 6(b) 7(c) 8(d) 9Correct Answer: (c) 8Solution:20. तो x का मान है; [ RRB NTPC 08/03/2021 (Evening) ](a) 48(b) 23(c) 26(d) 75Correct Answer: (b) 23Solution:Submit Quiz« Previous12345Next »