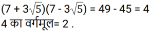
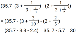
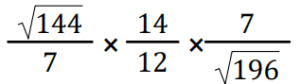
सरलीकरण Part-12Total Questions: 5031. मान ज्ञात कीजिए [ RRB NTPC 09/03/2021 (Evening) ](a) 2(b) 3(c) 1(d) 4Correct Answer: (c) 1Solution:32. निम्नलिखित में से कौन-सी भिन्न सबसे छोटी है ? [ RRB NTPC 09/03/2021 (Evening) ](a) 11/12 (b) 8/13(c) 9/11 (d) 10/14Correct Answer: (b) 8/13Solution:33. मान क्या है ? [RRB NTPC 09/03/2021 (Evening)](a) 1000 (b) 100(c) 10 (d) 0.1Correct Answer: (b) 100Solution:34. मान क्या है ? [ RRB NTPC 11/03/2021 (Morning) ](a) 80000(b) 8000(c) 80(d) 800Correct Answer: (d) 800Solution:35. मान क्या है? [ RRB NTPC 11/03/2021 (Morning) ](a) 34.8(b) 36.6(c) 41.4(d) 30Correct Answer: (d) 30Solution:36. (7 + 3√5)(7 - 3√5) का वर्गमूल है: [ RRB NTPC 11/03/2021 (Morning) ](c) 2(a) 4 (b) √5 (d) 3√5Correct Answer: (c) 2Solution:37. मान ज्ञात करे [ RRB NTPC 11/03/2021 (Morning) ](a) 9(b) 6(c) 7(d) 8Correct Answer: (d) 8Solution:38. मान ज्ञात कीजिए: [ RRB NTPC 11/03/2021 (Evening) ](a) 664(b) 358(c) 700(d) 318Correct Answer: (d) 318Solution:39. धनात्मक मान है: [ RRB NTPC 11/03/2021 (Evening) ](a) √6 (b) 3√2 (c) √10 (d) 3Correct Answer: (d) 3Solution:40. निम्नलिखित को सरल कीजिए। [RRB NTPC 12/03/2021 (Morning)](a) 7/333 (b) 7/666(c) 7/33 (d) 7/63Correct Answer: (b) 7/666Solution:Submit Quiz« Previous12345Next »