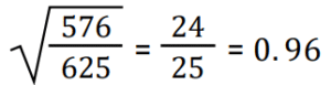
सरलीकरण Part-14Total Questions: 5011. योग क्या है? [RRB NTPC 24/07/2021 (Morning)](a)(b)(c)(d)Correct Answer: (a)Solution:12. (2 + √5)⁴ − (2 − √5)⁴ का मान क्या है? [RRB NTPC 24/07/2021 (Morning)](a) 144√5 (b) 120√5 (c) 96√5 (d) 12√5Correct Answer: (a) 144√5 Solution:13. निम्नलिखित को हल करें। [ RRB NTPC 24/07/2021 (Evening) ](a) 1/2 (b) 0 (c) 1/4 (d) 1/6Correct Answer: (d) 1/6Solution:14. −2/3 प्राप्त करने के लिए −5/7 में कौन सी संख्या जोड़नी चाहिए? [RRB NTPC 24/07/2021 (Evening)](a) 10/21 (b) −7/21 (c) 7/21 (d) 1/21Correct Answer: (d) 1/21Solution:15. समीकरण में x का मान है। [RRB NTPC 26/07/2021 (Morning)](a) 7/27 (b) 10/27 (c) 9/27 (d) 1/3Correct Answer: (a) 7/27 Solution:16. √(576/625) का मान ज्ञात करो [RRB NTPC 26/07/2021 (Evening)](a) 0.9 (b) 0.99 (c) 0.96(d) 10Correct Answer: (c) 0.96Solution:17. निम्नलिखित को हल करें: [ RRB NTPC 26/07/2021 (Evening) ](a)(b)(c)(d)Correct Answer: (c)Solution:18. −5 {−5 − (−5 − 2) − 5} का मान ज्ञात करें [ RRB NTPC 31/07/2021 (Morning) ](a) 18(b) -18(c) -15(d) 15Correct Answer: (d) 15Solution:19. (½ + ⅓ + ⅕) में 3 प्राप्त करने के लिए क्या जोड़ा जाना चाहिए? [ RRB NTPC 31/07/2021 (Morning) ](a) 59/10 (b) 54/30 (c) 59/30(d) 3/10Correct Answer: (c) 59/30Solution:20. 26/33 प्राप्त करने के लिए −5/11 में किस संख्या को जोड़ा जाना चाहिए? [RRB NTPC 31/07/2021 (Morning)](a) 11/33 (b) 21/33 (c) 41/33(d) 33/33Correct Answer: (c) 41/33Solution:Submit Quiz« Previous12345Next »