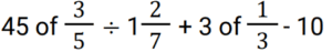
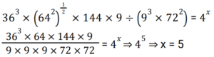
सरलीकरण Part-14Total Questions: 5031. तो ‘x’ का मान ज्ञात कीजिए [RRB JE 23/05/2019 (Evening)](a) 12 (b) 14 (c) 13 (d) 144Correct Answer: (a) 12 Solution:32. सरल करें: [ RRB JE 23/05/2019 (Evening) ]8 ÷ [(9 - 5) ÷ {(7 - 2) ÷ (3 + 9 ÷ 24)}](a) 80/27 (b) 20/27 (c) 60/27 (d) 160/27Correct Answer: (a) 80/27 Solution:33. यदि किसी संख्या का 1/7 संख्या से घटाया जाता है, तो परिणाम संख्या से 30 कम होता है। संख्या ज्ञात कीजिए। [RRB JE 24/05/2019 (Evening)](a) 210(b) 140(c) 120(d) 105Correct Answer: (a) 210Solution:34. सरल कीजिए: [ RRB JE 24/05/2019 (Evening) ]√25 + 10√6 + √25 − 10√6(a) 2√15 (b) 2√5 (c) √50 (d) √55Correct Answer: (a) 2√15 Solution:35. सरल कीजिए: [ RRB JE 28/05/2019 (Morning) ](a) 2 (b) 3/10 (c) 91/101 (d) 101/10Correct Answer: (a) 2 Solution:36. तो ‘x’ का मान ज्ञात करें। [ RRB JE 28/05/2019 (Afternoon) ](a) 5 (b) 7 (c) 8 (d) 12Correct Answer: (a) 5 Solution:37. सरल कीजिए: [RRB JE 31/05/2019 (Evening)](a) 3 (b) 2(c) 1 (d) 4Correct Answer: (b) 2Solution:38. सरल करें: [ RRB JE 31/05/2019 (Evening) ](a) 24(b) 0(c) 25(d) 12Correct Answer: (a) 24Solution:39. हल करें: [ RRB JE 01/06/2019 (Morning) ](a) 10(b) 15(c) 14(d) 12Correct Answer: (d) 12Solution:40. सरल कीजिए: [ RRB JE 01/06/2019 (Afternoon) ]0.032 x 0.2 + 0.32 x 0.002(a) 0.00704(b) 0.0064(c) 0.00064(d) 0.06Correct Answer: (a) 0.00704Solution:Submit Quiz« Previous12345Next »