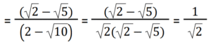
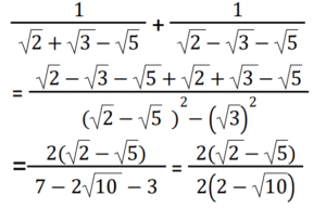
सरलीकरण Part-14Total Questions: 5041. सरल कीजिए: [ RRB JE 01/06/2019 (Evening) ]2 / (1 − √2)(a) −(2 + √2) (b) 2 + √2 (c) −2(1 + √2)(d) 1 − 2√2Correct Answer: (c) −2(1 + √2)Solution:42. निम्नलिखित में से सबसे बड़ी भिन्न को ज्ञात कीजिए [ RRB JE 01/06/2019 (Evening) ]5/6, 6/11, 2/3, 8/9, 6/7(a) 2/3 (b) 5/6 (c) 8/9(d) 6/7Correct Answer: (c) 8/9Solution:43. मान ज्ञात करें। [RRB JE 02/06/2019 (Morning)](a) 1 (b) √2 (c) 1/√2(d) 1/2Correct Answer: (c) 1/√2Solution:44. सरल करें: [ RRB JE 02/06/2019 (Morning) ](a) 43/18 (b) 17/9 (c) 13/6(d) 35/18Correct Answer: (c) 13/6Solution:45. सरल करें: [ RRB JE 02/06/2019 (Morning) ](a)(b)(c)(d)Correct Answer: (c)Solution:46. सरल करें: [ RRB JE 02/06/2019 (Afternoon) ](a) 18(b) 12(c) 20(d) 24Correct Answer: (b) 12Solution:47. निम्नलिखित में से कौन सा सबसे बड़ा है? [RRB JE 02/06/2019 (Afternoon)](a) 15/16 (b) 24/25 (c) 34/35(d) 19/20Correct Answer: (c) 34/35Solution:48. यदि 0.034 = x/10 हो, तो ‘x’ का मान ज्ञात कीजिए। [RRB JE 02/06/2019 (Afternoon)](a) 340 (b) 34 (c) 3.4(d) 4Correct Answer: (c) 3.4Solution:49. सबसे छोटी भिन्न ज्ञात करें। [RRB JE 02/06/2019 (Evening)](a) 7/8 (b) 15/19 (c) 17/21(d) 13/16Correct Answer: (c) 17/21Solution:50. हल कीजिए: [ RRB JE 02/06/2019 (Evening) ](a) 3/4 (b) 2√3 (c) 4/3(d) 4/√3Correct Answer: (c) 4/3Solution:Submit Quiz« Previous12345