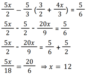
सरलीकरण Part-15Total Questions: 5011. सबसे छोटी भिन्न को ज्ञात करें। [RRB JE 27/06/2019 (Evening)](a) 3/4 (b) 11/13 (c) 5/7(d) 9/11Correct Answer: (c) 5/7Solution:12. (82 + 28)² – (82 – 28)² / 82 × 28 का मान ज्ञात कीजिए। [RRB JE 28/06/2019 (Evening)](a) 220 (b) 8 (c) 4(d) 110Correct Answer: (c) 4Solution:13. तो x का मान है: [ ALP Tier II 21/01/2019 (Afternoon) ](a) 3 (b) 12(c) 6 (d) 4Correct Answer: (b) 12Solution:14. इसे हल करें [ ALP Tier II 21/01/2019 (Afternoon) ](a) 0.04(b) 0.004(c) 0.02(d) 0.002Correct Answer: (c) 0.02Solution:15. 12 – 20% of (42×5÷15 – 18×10÷15 + 8) = ________ [ALP Tier II 21/01/2019 (Afternoon)](a) 6 (b)10(c) 8 (d)12Correct Answer: (b)10Solution:16. 0.000225 का वर्गमूल क्या है ? [ ALP Tier II 21/01/2019 (Evening) ](a) 0.015(b) 0.005(c) 0.0015(d) 0.0125Correct Answer: (a) 0.015Solution:17. एक संख्या और उसके व्युत्क्रम के 16 गुने का योग 10 है। तो संख्या है: [ ALP Tier II 21/01/2019 (Evening) ](a) 7(b) 5(c) 8(d) 6Correct Answer: (c) 8Solution:18. यदि (x – 1)²+ (y – 2)² = (x – 1)(y – 2) जहाँ x और y पूर्णांक है, तो 2x + 3y का मान होगा: [ ALP Tier II 21/01/2019 (Morning) ](a) 7(b) 11(c) 8(d) 5Correct Answer: (c) 8Solution:19. यदि √X + 0.24 = √0.1296 , X का मान बताएं [ ALP Tier II 23/01/2019 (Morning) ](a) 0.0144 (b) 0.12 (c) 0.0012 (d) 1.44Correct Answer: (a) 0.0144 Solution:20. 20 – 2 [25% का (15 × 8 ÷ 6+12)] = _______ ? [ALP Tier II 23/01/2019 (Morning)](a) 8 (b) 6 (c) 10 (d) 4Correct Answer: (d) 4Solution:Submit Quiz« Previous12345Next »