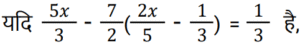
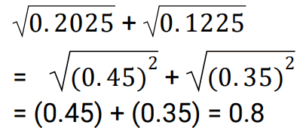
सरलीकरण Part-15Total Questions: 5021. (0.1² – 0.0252² ) ÷ (0.1 – 0.025) = _______. [ ALP Tier II 23/01/2019 (Morning) ](a) 0.25(b) 0.625(c) 0.325(d) 0.125Correct Answer: (d) 0.125Solution:22. तो x का मान ______ है। [ ALP Tier II 23/01/2019 (Morning) ](d) 3/4(a) 5/7(b) 5/4(c) 3/7Correct Answer: (d) 3/4Solution:23. निम्नलिखित को हल कीजिए। [ ALP Tier II 23/01/2019 (Afternoon) ](a) 0.9 (b) 0.6 (c) 0.8(d) 1.2Correct Answer: (c) 0.8Solution:24. तो x का मान______ है [ ALP Tier II 23/01/2019 (Afternoon) ](a) 1.25/8(b) -5/14(c) -25/8(d) 5/14Correct Answer: (c) -25/8Solution:25. दिए गए व्यंजक का मान ज्ञात कीजिए: 16 - (25% का (14 × 10 ÷ 35+ 12 × 10 ÷ 15)) [ALP Tier II 23/01/2019 (Afternoon)](a) 9 (b) 13(c) 7 (d) 11Correct Answer: (b) 13Solution:26. (0.12 × 0.12 × 0.12) × (1.32 × 1.32 ×1.32)/(0.52 × 0.52) का मान होगा; [ ALP Tier II 08/02/2019 (Morning) ](a) 0.187 (b) 0.0187 (c) 0.0147(d) 0.147Correct Answer: (c) 0.0147Solution:27. –7 (2x + 4y) – 2 (x – 2y) का मान होगा: [ALP Tier II 08/02/2019 (Morning)](a) -4(2x+3y) (b) -8(2x+3y)(c) -8(2x-3y) (d) -3(2x+3y)Correct Answer: (b) -8(2x+3y)Solution:– 7 (2x + 4y) – 2 (x – 2y) = -16x 24y = 8(2x + 3y)28. अज्ञात (?) संख्या बताएं: [ ALP Tier II 08/02/2019 (Morning) ](a) 4.2(b) 3.4(c) 4.4(d) 3.2Correct Answer: (c) 4.4Solution:29. (10 + √25) (12 – √49) का वर्गमूल होगा: [ALP Tier II 08/02/2019 (Morning)](a) 4√3 (b) 5√3(c) 3√3 (d) 2√3Correct Answer: (b) 5√3Solution:30. यदि x = 15, y = 20 और z = 10 तो (5x - 15) / (y + z) का मान ______ के बराबर होगा: [ALP Tier II 08/02/2019 (Morning)](a) 2 (b) 3 (c) 4 (d) 6Correct Answer: (a) 2 Solution:Submit Quiz« Previous12345Next »