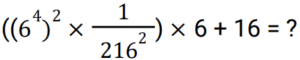
सरलीकरण Part-15Total Questions: 5041. निम्नलिखित में से कौन सा पूर्ण वर्ग है? [RPF Constable 18/01/2019 (Evening) ](a) 5778 (b) 5777 (c) 5776(d) 5772Correct Answer: (c) 5776Solution:42. x का मान ज्ञात कीजिए: [RPF Constable 19/01/2019 (Morning) ](x³) ÷ 14 = 1568(a) 28(b) 30(c) 32(d) 26Correct Answer: (a) 28Solution:43. हल करें: 1/8 + 3/4 – 5/8 =? [ RPF Constable 19/01/2019 (Morning) ](d) 0.25(a) 0.3(b) 0.45(c) 0.5Correct Answer: (d) 0.25Solution:44. हल करें: [RPF Constable 19/01/2019 (Morning) ]79 – [23 – {84 ÷ 7 – (16 – 16 ÷ 4) ÷ 4}](a) 61 (b) 63 (c) 67 (d) 65Correct Answer: (d) 65Solution:45. सरल कीजिए: [RPF S.I. 19/12/2018 (Morning)](a) 344 (b) 244 (c) 366 (d) 266Correct Answer: (d) 266Solution:46. सरल कीजिए: [RPF S.I. 19/12/2018 (Evening)](a) 8.4 (b) 8 (c) 8.2(d) 8.1Correct Answer: (c) 8.2Solution:47. सरल कीजिए: [ RPF S.I. 19/12/2018 (Evening) ](a) 143(b) 132(c) 121(d) 119Correct Answer: (d) 119Solution:48. सरल कीजिए: [RPF S.I. 19/12/2018 (Evening)](a) 800(b) 1000(c) 1200(d) 900Correct Answer: (b) 1000Solution:49. सरल कीजिए: [ RPF S.I. 24/12/2018 (Morning) ](a) 224(b) 242(c) 216(d) 232Correct Answer: (d) 232Solution:50. सरल कीजिए: [RPF S.I. 24/12/2018 (Morning)](a) 240 (b) 230 (c) 220 (d) 210Correct Answer: (d) 210Solution:Submit Quiz« Previous12345