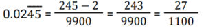
सरलीकरण Part-16Total Questions: 5041. वह छोटी से छोटी संख्या कौन सी है जिसे 435 में जोड़ने पर एक पूर्ण वर्ग प्राप्त होता है? [RRB ALP 17/08/2018 (Morning)](a) 8(b) 4(c) 3(d) 6Correct Answer: (d) 6Solution:प्रश्न को हल करने के लिए, हमें 435 के निकटतम पूर्ण वर्ग को ज्ञात करना होगा। 202=400⇒212=441 स्पष्ट रूप से, हम देख सकते हैं कि 6 अर्थात्(441 − 435) आवश्यक संख्या है जिसे 435 में जोड़ा जाना चाहिए। 42. 576 का वर्गमूल क्या है? [RRB ALP 17/08/2018 (Morning)](a) 26(b) 36(c) 34(d) 24Correct Answer: (d) 24Solution:576 का वर्गमूल = 24 43. 0.9 का वर्गमूल किसके बराबर है? [RRB ALP 17/08/2018 (Afternoon)](a) 0.9487 (b) 0.3 (c) 0.9463 (d) 0.03Correct Answer: (a) 0.9487 Solution:44. निम्न हल करें: [RRB ALP 17/08/2018 (Evening)](a) -2 (b) -3(c) 1 (d) -1Correct Answer: (b) -3Solution:45. 1.004 - 0.4 किसके बराबर है? [RRB ALP 17/08/2018 (Evening)](a) 0.006 (b) 1 (c) 0.640 (d) 0.604Correct Answer: (d) 0.604Solution:1.004 - 0.4 = 0.60446. यदि 60/75 के समतुल्य 4/x है, तो x का मान क्या है? [RRB ALP 17/08/2018 (Evening)](a) 18 (b) 4 (c) 15 (d) 5Correct Answer: (d) 5Solution:47. दो संख्याओं का गुणनफल 20 है। इनमें से एक संख्या 1.25 है। दूसरी संख्या क्या है? [RRB ALP 17/08/2018 (Evening)](a) 15 (b) 12 (c) 16(d) 14Correct Answer: (c) 16Solution:48. 250 का 46% किसके बराबर है? [RRB ALP 17/08/2018 (Evening)](a) 103.5 (b) 112 (c) 92 (d) 115Correct Answer: (d) 115Solution:49. हल करें: [RRB ALP 20/08/2018 (Afternoon)](a) 9/37 (b) 27/1100(c) 9/370 (d) 27/1111Correct Answer: (b) 27/1100Solution:50. निम्न को हल करें: [RRB ALP 20/08/2018 (Evening)]23 - [23 - {23 - (23 - 23 + 23)}](a) -1 (b) 1 (c) 23 (d) 0Correct Answer: (d) 0Solution:Submit Quiz« Previous12345