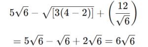
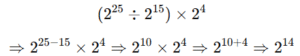
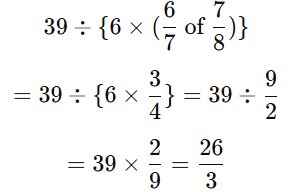
सरलीकरण Part-4Total Questions: 5011. मान ज्ञात कीजिए। [Group D 08/09/2022 (Evening)](d) 6√6(a) 8√6(b) 7√6(c) 5√6Correct Answer: (d) 6√6Solution:12. √625 + √0.25 - √0.000025 का मान ज्ञात कीजिए। [Group D 08/09/2022 (Evening)](a) 25.405 (b) 25.5 (c) 25.395 (d) 25.495Correct Answer: (d) 25.495Solution:13. 39 ÷ {6 × (6/7 of 7/8)} का मान ज्ञात कीजिए। [Group D 09/09/2022 (Morning)](a) 25/3 (b) 28/3 (c) 26/3(d) 23/3Correct Answer: (c) 26/3Solution:14. (0.1 × 0.001 × 0.0001 × 10⁶) का मान ज्ञात कीजिए। [Group D 09/09/2022 (Morning)](a) 1 (b) 1/10 (c) 100 (d) 1/100Correct Answer: (d) 1/100Solution:15. यदि 9x = 55² − 35² है, तो x का मान ज्ञात कीजिए। [Group D 09/09/2022 (Morning)](a) 400 (b) 200(c) 300 (d) 500Correct Answer: (b) 200Solution:16. 0.435 को 𝑝/𝑞 के रूप में व्यक्त कीजिए, जहाँ p और q पूर्णांक हैं और q ≠ 0 है। [Group D 09/09/2022 (Afternoon)](a) 456/991 (b) 425/990 (c) 431/990(d) 430/991Correct Answer: (c) 431/990Solution:17. (279 ÷ 31) + (363 ÷ 33) − (512 ÷ 16) का मान ज्ञात कीजिए। [Group D 09/09/2022 (Afternoon)](a) 1.9 (b) −11 (c) 10 (d) −12Correct Answer: (d) −12Solution:(279 ÷ 31) + (363 ÷ 33) - (512 ÷ 16)⇒ 9 + 11 - 32 = -1218. मान ज्ञात कीजिए। [Group D 09/09/2022 (Afternoon)](a) 49 (b) 2500 (c) 2401 (d) 50Correct Answer: (b) 2500 Solution:19. 0.17̅ को p/q के रूप में व्यक्त कीजिए, जहाँ p और q पूर्णांक हैं और q ≠ 0 है। [Group D 09/09/2022 (Evening)](a) 7/45 (b) 6/49 (c) 8/45(d) 5/49Correct Answer: (c) 8/45Solution:20. (2²⁵ ÷ 2¹⁵) × 2⁴ का मान ज्ञात कीजिए। [Group D 12/09/2022 (Morning)](a) 2¹⁴ (b) 2¹⁰ (c) 2¹¹ (d) 2¹³Correct Answer: (a) 2¹⁴ Solution:Submit Quiz« Previous12345Next »