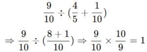
सरलीकरण Part-4Total Questions: 5021. {14 + (2½ + ⁴/₅ + 1)} × ¹/₁₀₀ का मान ज्ञात कीजिए। [Group D 12/09/2022 (Morning)](a) 0.0183 (b) 0.183(c) 1.83 (d) 18.3Correct Answer: (b) 0.183Solution:22. ⁹/₁₀ ÷ (⁴/₅ + ¹/₁₀) का मान ज्ञात कीजिए। [Group D 12/09/2022 (Afternoon)](a) 0 (b) 1(c) ¹/₁₀ (d) ⁸¹/₁₀₀Correct Answer: (b) 1Solution:23. 0.3̅ को 𝑝/q के रूप में व्यक्त कीजिए, जहाँ p और q पूर्णांक हैं और q ≠ 0। [Group D 12/09/2022 (Evening)](a) 2/3(b) 2/5(c) 3/4(d) 1/4Correct Answer: (d) 1/4Solution:24. 597 × 603 का मान ज्ञात कीजिए। [Group D 13/09/2022 (Morning)](a) 559991 (b) 659991 (c) 359991(d) 459991Correct Answer: (c) 359991Solution:597 × 603 = (600 - 3) × (600 + 3)= 600² - 3² = 360000 - 9 = 35999125. 222.22 + 22.22 + 12 + 0.22 + 0.02 = ? का मान ज्ञात कीजिए। [Group D 13/09/2022 (Morning)](a) 256.08 (b) 256.86 (c) 255.68 (d) 256.68Correct Answer: (d) 256.68Solution:222.22 + 22.22 + 12 + 0.22+ 0.02 = 244.44 + 12.24 = 256.6826. मान क्या है? [Group D 13/09/2022 (Afternoon)](a) 1/25(b) 1/5(c) 5 (d) 25Correct Answer: (d) 25Solution:27. सरल कीजिए। [Group D 13/09/2022 (Afternoon)](a) 8 (b) 4 (c) 1 (d) 2Correct Answer: (d) 2Solution:28. (34)³ का मान ज्ञात कीजिए [Group D 13/09/2022 (Afternoon)](a) 39304 (b) 39204 (c) 40304 (d) 29304Correct Answer: (a) 39304 Solution:29. मान ज्ञात कीजिए। [Group D 13/09/2022 (Afternoon)](a)(b)(c)(d)Correct Answer: (c)Solution:30. ज्ञात कीजिए। [Group D 13/09/2022 (Evening)](b)(a)(c)(d)Correct Answer: (b)Solution:Submit Quiz« Previous12345Next »