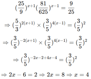
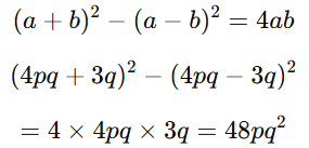
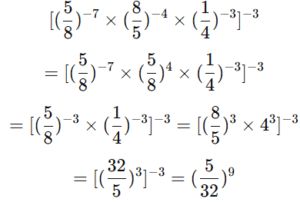
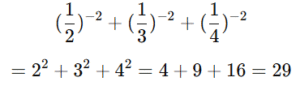
सरलीकरण Part-4Total Questions: 5041. 5ⁿ⁺² =3125, तो n का मान ज्ञात कीजिए। [Group D 16/09/2022 (Morning)](a) 5 (b) 4 (c) 3(d) 2Correct Answer: (c) 3Solution:42. मान ज्ञात कीजिए। [Group D 16/09/2022 (Morning)](a) 36 (b) 6(c) 11 (d) 15Correct Answer: (b) 6Solution:43. मान ज्ञात कीजिए। [Group D 16/09/2022 (Afternoon)](a)(b)(c)(d)Correct Answer: (d)Solution:44. (4pq+3q)²−(4pq−3q)² को सरल कीजिए। [Group D 16/09/2022 (Afternoon)](a) 24p²q² (b) 48p²q² (c) 24pq² (d) 48pq²Correct Answer: (d) 48pq²Solution:हम जानते हैं कि 45. मान ज्ञात कीजिए ? [Group D 16/09/2022 (Afternoon)](a) 29 (b) 25 (c) 21 (d) 13Correct Answer: (a) 29 Solution:46. निम्न में से कौन सा विकल्प उस निकटतम लगभग मान को दर्शाता है, जो निम्न समीकरण में प्रश्नचिह्न (?) के स्थान पर आएगा? [Group D 16/09/2022 (Afternoon)]11.96 + 4.96 + 12.16 − 11.89 × 2.04 = ?(a) 7 (b) 9 (c) 13 (d) 5Correct Answer: (d) 5Solution:47. 23/11 को इसके आवर्ती दशमलव रूप में परिवर्तित कीजिए। [Group D 16/09/2022 (Evening)](a)(b)(c)(d)Correct Answer: (b)Solution:48. तो x का मान ज्ञात कीजिए। [Group D 16/09/2022 (Evening)](a) 8 (b) 6 (c) 5 (d) 4Correct Answer: (d) 4Solution:49. (6−3)÷[(9−6)÷{(6−4)÷(2+)}] का मान ज्ञात कीजिए। [Group D 16/09/2022 (Evening)](a) 1/17(b) 13/17(c) 26/17(d) 5/17Correct Answer: (b) 13/17Solution:50. यदि 5ˣ⁺ʸ =125 और 5ˣ⁻ʸ =3125 है, तो Y का मान ज्ञात कीजिए। [Group D 17/09/2022 (Morning)](a) –4 (b) –3 (c) –1(d) –2Correct Answer: (c) –1Solution:Submit Quiz« Previous12345