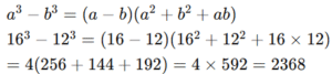
सरलीकरण Part-5Total Questions: 5011. √18496 = 136 का उपयोग करते हुए, √184.96-√1.8496 का मान ज्ञात कीजिए। [Group D 18/09/2022 (Morning)](a) 12.24 (b) 18.49 (c) 10 (d) 14.96Correct Answer: (a) 12.24 Solution:√18496 = 136,Then, √184.96 − √1.8496= 13.6 − 1.36 = 12.2412. 250 के 28% के 60% का मान ज्ञात कीजिए। [Group D 18/09/2022 (Afternoon)](a) 42 (b) 56 (c) 22 (d) 68Correct Answer: (a) 42 Solution:250 के 28% का 60%= (60/100) × (28/100) × 250 = 4213. मान ज्ञात कीजिए। [Group D 18/09/2022 (Afternoon)](a)(b)(c)(d)Correct Answer: (a)Solution:4⁻⁵ ÷ 4⁷ × 4⁻⁶ = 4⁽⁻⁵⁻⁷⁻⁶⁾ = 4⁻¹⁸14. मान ज्ञात कीजिए। [Group D 18/09/2022 (Afternoon)](a)(b)(c)(d)Correct Answer: (c)Solution:15. मान ज्ञात कीजिए। [Group D 18/09/2022 (Afternoon)](a)(b)(c)(d)Correct Answer: (d)Solution:16. 2405 ÷ 13 × 6 + 35 का मान निम्नलिखित में से कितना होगा? [Group D 18/09/2022 (Evening)](a) 1035 (b) 1305 (c) 1235 (d) 1145Correct Answer: (d) 1145Solution:2405÷13×6+35=185×6+35=1110+35=114517. 0.26 को उचित भिन्न में बदलिए। [Group D 18/09/2022 (Evening)](a) 5/17(b) 7/33(c) 8/21(d) 4/15Correct Answer: (d) 4/15Solution:18. 16³ - 12³ का मान ज्ञात कीजिए। [Group D 18/09/2022 (Evening)](a) 2388(b) 2368(c) 2378(d) 2358Correct Answer: (b) 2368Solution:19. 6⁰ × 4² × 2⁻⁴ क्या है? [Group D 18/09/2022 (Evening)](a) 2(b) 4(c) 0(d) 1Correct Answer: (d) 1Solution:20. निम्नांकित को सरल कीजिए: [Group D 18/09/2022 (Evening)](a) 0.0125(b) 0.25(c) 0.5(d) 0.125Correct Answer: (d) 0.125Solution:Submit Quiz« Previous12345Next »