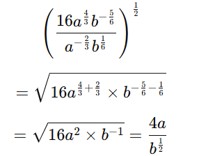
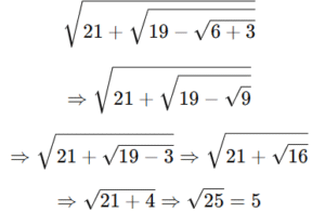
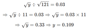
सरलीकरण Part-6Total Questions: 5021. मान ज्ञात कीजिए। [Group D 28/09/2022 (Evening)](a) 9(b) 3(c) 5(d) 25Correct Answer: (c) 5Solution:22. हल कीजिए। [Group D 29/09/2022 (Morning)](a) 0.416̅ (b) 0.417 (c) 0.416 (d) 0.416̅Correct Answer: (a) 0.416̅ Solution:23. हल कीजिए। [Group D 29/09/2022 (Morning)](a) 7 (b) 4 (c) 3 (d) 5Correct Answer: (d) 5Solution:24. दिए गए व्यंजक को सरल कीजिए। [Group D 29/09/2022 (Afternoon)](a) 24 + 25x - 6x² - x³(b) 24 - 25x - 6x² - x³(c) 24 - 25x + 6x² - x³(d) 24 - 25x - 6x² + x³Correct Answer: (b) 24 - 25x - 6x² - x³Solution:25. सरल कीजिए। [Group D 29/09/2022 (Afternoon)](a)(b)(c)(d)Correct Answer: (c)Solution:26. मान ज्ञात कीजिए, [Group D 29/09/2022 (Afternoon)] (a) 1.760 (b) 0.109(c) 0.176 (d) 1.640Correct Answer: (b) 0.109Solution:27. दिए गए व्यंजक को सरल कीजिए। [Group D 29/09/2022 (Evening)](a) 9x² - 9x + 8 (b) 9x² - 9x - 8(c) 9x² + 9x + 8 (d) 9x² + 9x - 8Correct Answer: (b) 9x² - 9x - 8Solution:28. मान ज्ञात कीजिए। [Group D 30/09/2022 (Morning)](a) 1 (b) 6 (c) 3(d) 9Correct Answer: (c) 3Solution:29. हल कीजिए। [Group D 30/09/2022 (Morning)](a) ⁴⁹⁄₂₅ (b) ¹²⁵⁄₃₄₃ (c) ²⁵⁄₄₉ (d) ³⁴³⁄¹²⁵Correct Answer: (a) ⁴⁹⁄₂₅ Solution:30. मान ज्ञात कीजिए। [Group D 30/09/2022 (Morning)](a) 2 (b) 2.5 (c) 1.5 (d) 1.75Correct Answer: (a) 2 Solution:Submit Quiz« Previous12345Next »