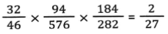
सरलीकरण Part-7Total Questions: 5031. निम्न व्यंजक को सरल कीजिए। [Level 2 (16/06/2022) Shift 1](a) 12 (b) 15 (c) 10 (d) 13Correct Answer: (a) 12 Solution:32. निम्न व्यंजक को सरल कीजिए [Level 2 (16/06/2022) Shift 1](a) 75 (b) 80 (c) 50 (d) 60Correct Answer: (d) 60Solution:33. निम्नलिखित को सरल कीजिए: [Level 2 (16/06/2022) Shift 2](a)(b)(c)(d)Correct Answer: (d)Solution:34. यदि 280 का k% = 350 के 50% के बराबर है, तो k का मान ज्ञात कीजिए। [Level 2 (16/06/2022) Shift 2](a) 75 (b) 62.5(c) 72.5 (d) 60Correct Answer: (b) 62.5Solution:35. निम्नलिखित में से कौन-सा भिन्न सबसे बड़ा है? [Level 2 (16/06/2022) Shift 2]7/9, 6/7, 22/25 और 11/13(a) 7/9(b) 11/13(c) 6/7(d) 22/25Correct Answer: (d) 22/25Solution:36. निम्न व्यंजक को सरल कीजिए। [Level 2 (16/06/2022) Shift 2](a)(b)(c)(d)Correct Answer: (b)Solution:37. दिए गए विकल्पों में से कौन सा वह लगभग निकटतम मान है, जो निम्नलिखित समीकरण में प्रश्न चिन्ह (?) के स्थान पर आएगा? [Level 2 (16/06/2022) Shift 3]799.897 का 24.99% + 120.010 का 29.989% = 190 + ? का 22.998%(a) 150 (b) 180 (c) 220 (d) 200Correct Answer: (d) 200Solution:38. का मान: [Level 2 (16/06/2022) Shift 3](b) 4(a) 0.4 (c) 0.04 (d) 0.004Correct Answer: (b) 4Solution:39. मान ज्ञात कीजिए? [Level 2 (16/06/2022) Shift 3] (a) 2/9(b) 2/27(c) 2/3(d) 27/2Correct Answer: (b) 2/27Solution:40. मान ज्ञात कीजिए? [Level 2 (16/06/2022) Shift 3] (a) 7(b) 9(c) 5/2(d) 11/3Correct Answer: (b) 9Solution:Submit Quiz« Previous12345Next »