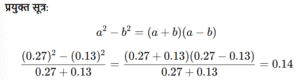
सरलीकरण Part-8Total Questions: 5011. मान ज्ञात कीजिये ? [RRB NTPC 29/12/2020 (Evening)](a) 37 (b) 12 (c) 24 (d) 36Correct Answer: (a) 37 Solution:12. मान ज्ञात कीजिये ? [RRB NTPC 29/12/2020 (Evening)](a) 1/5(b) 7/2(c) 2/3(d) 3/5Correct Answer: (b) 7/2Solution:13. 1.44 के 1/0.24 का मान ज्ञात कीजिये ? [RRB NTPC 29/12/2020 (Evening)](a) 12 (b) 140 (c) 6(d) 166Correct Answer: (c) 6Solution:14. निम्नलिखित को हल कीजिये : [RRB NTPC 30/12/2020 (Morning)]6202.5 + 620.25 + 62.025 + 6.2025 + 0.62025 = ?(a) 6791.59775 (b) 6891.59775(c) 6891.59675 (d) 5892.59775Correct Answer: (b) 6891.59775Solution:15. निम्नलिखित को हल कीजिये : [RRB NTPC 30/12/2020 (Morning)](a) 156/369(b) 224 (c) -24 (d) -25Correct Answer: (a) 156/369Solution:16. 36.1/102.4 के वर्गमूल का क्या मान होगा ? [RRB NTPC 30/12/2020 (Morning)](a) 19/31(b) 19/34(c) 19/32(d) 61/340Correct Answer: (c) 19/32Solution:17. सरलीकृत करें : [RRB NTPC 30/12/2020 (Evening)](a) 4 (b) 37/15(c) 3(d) 5Correct Answer: (c) 3Solution:18. मान किसके समतुल्य है ? [RRB NTPC 04/01/2021 (Morning)](a) 8 (b) 9 (c) 6 (d) 12Correct Answer: (d) 12Solution:19. एक कक्षा में 48 विद्यार्थी हैं। किसी विशेष दिन पर, केवल 3/8 छात्र उपस्थित थे, उसी दिन अनुपस्थित रहने वालों की संख्या कितनी होगी ? [RRB NTPC 04/01/2021 (Morning)](a) 38 (b) 28 (c) 18 (d) 30Correct Answer: (d) 30Solution:20. मान क्या है ? [RRB NTPC 04/01/2021 (Morning)](a) 1.40 (b) 0.40 (c) 0.03 (d) 0.14Correct Answer: (d) 0.14Solution:Submit Quiz« Previous12345Next »