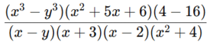
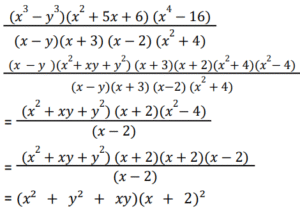
सरलीकरण Part-9Total Questions: 5021. मान ज्ञात कीजिए। [RRB NTPC 17/01/2021 (Evening)](a) 5 (b) 7 (c) 6(d) 12Correct Answer: (c) 6Solution:22. अनुपात 5 : 3, 7 : 5, 6 : 4 अवरोही क्रम में लिखिए। [RRB NTPC 18/01/2021 (Morning)](a)(b)(c)(d)Correct Answer: (a)Solution:23. अपने न्यूनतम पद में क्या होगा ? [RRB NTPC 18/01/2021 (Morning)](a)(b)(c)(d)Correct Answer: (a)Solution:24. मान ज्ञात कीजिए। [RRB NTPC 18/01/2021 (Evening)](a) 401 (b) 590(c) 812 (d) 502Correct Answer: (b) 590Solution:25. निम्नलिखित व्यंजक का मान क्या है? [RRB NTPC 18/01/2021 (Evening)](a) 1 (b) 9(c) 1/2(d) 0Correct Answer: (b) 9Solution:26. निम्नलिखित व्यंजक का मान क्या है ? [RRB NTPC 18/01/2021 (Evening)](a) 0 (b) 7.0 (c) 3.5(d) 2.5Correct Answer: (c) 3.5Solution:27. कौन सा विकल्प [RRB NTPC 18/01/2021 (Evening)] के समतुल्य है ? (a) (x² + y² - xy) (b) (x² + y² - xy)(x + 2)²(c) (x + 2)² (d) (x² + y² + xy)(x + 2)²Correct Answer: (d) (x² + y² + xy)(x + 2)²Solution:28. का मान क्या होगा ? [RRB NTPC 19/01/2021 (Morning)](a) 3 (b) 2 (c) 1 (d) 0Correct Answer: (d) 0Solution:29. यदि √15 = 3.88, तो √(5/3) = ? [RRB NTPC 19/01/2021 (Morning)](a) 4.293 (b) 2.293 (c) 3.293 (d) 1.293Correct Answer: (d) 1.293Solution:30. √2025 का मान ज्ञात कीजिए। [RRB NTPC 19/01/2021 (Morning)](a) 25 (b) 45(c) 55 (d) 65Correct Answer: (b) 45Solution:Submit Quiz« Previous12345Next »