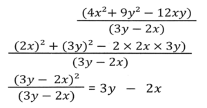
सरलीकरणTotal Questions: 5041. निम्न व्यंजक सरल करें। [SSC CGL 13/09/2024 (1st Shift)](a) 3(b) 1(c) 0(d) 2Correct Answer: (a) 3Solution:42. निम्नलिखित व्यंजक को हल कीजिए। [SSC CGL 13/09/2024 (3rd Shift)](g - h)² - (g + h)² + 4gh(a) 4gh(b) -4gh(c) 4(d) 0Correct Answer: (d) 0Solution:43. सरल कीजिए । [SSC CGL 13/09/2024 (3rd Shift)](a) 9.5(b) 6.5(c) 8.5(d) 7.5Correct Answer: (d) 7.5Solution:44. निम्नलिखित का सरलीकरण करें: [SSC CGL 18/09/2024 (1st Shift)](a) 0(b) 11/2(c) -2(d) 3Correct Answer: (a) 0Solution:45. दिए गए व्यंजक को हल कीजिए। [SSC CGL 18/09/2024 (3rd Shift)](a) 2y - 3x(b) 3y - 2x(c) 2x - 3y(d) 3x - 2yCorrect Answer: (b) 3y - 2xSolution:46. निम्नलिखित व्यंजक का मान ज्ञात कीजिए। [SSC CGL 19/09/2024 (2nd Shift)]25 ÷ 5 + 3 का 2 - 4 + 6 का 3 ÷ 2 - 8 + 4(a) 16(b) 4(c) 8(d) 12Correct Answer: (d) 12Solution:47. दिए गए व्यंजक का सरलीकरण करें। [SSC CGL 23/09/2024 (3rd Shift)]0.07 × 0.28 ÷ 0.04 + 0.64 - 1.64 ÷ 0.04(a) 38.56(b) -39.87(c) - 46.48(d) 36.78Correct Answer: (b) -39.87Solution:48. इसका मान क्या होगा ? [SSC CGL 24/09/2024 (1st Shift)](a) 2(b) 3(c) 1(d) -1Correct Answer: (c) 1Solution:49. निम्नलिखित व्यंजक का सरलीकृत मान ज्ञात कीजिए। [SSC CGL 24/09/2024 (2nd Shift)](a) 46(b) 21(c) 12(d) 42Correct Answer: (a) 46Solution:50. किसके बराबर है ? [SSC CGL 25/09/2024 (1st Shift)](a) 1(b) 9/5(c) 0(d) 9Correct Answer: (d) 9Solution:Submit Quiz« Previous12345