हरियाणा CET परीक्षा, ग्रुप – D (22.10.2023) द्वितीय पाली

Total Questions: 100

51. तीन विभिन्न संख्याओं का ल.स. 120 है। निम्न संख्याओं में से कौन सी संख्या इन तीनों संख्याओं का म.स. नहीं हो सकता?

Correct Answer: (3) 35
Solution:तीन विभिन्न संख्याओं का ल.स. = 120

120/12 = 10

120/24 - 5

120/8 = 15

120 / 35

इसलिए, 35 इन संख्याओं का म.स. नहीं हो सकता।

52. 28.80 रुपये प्रति किग्रा वाले और 22.80 रुपये प्रति किग्रा वाले चावल किस अनुपात में मिलाये जाएँ ताकि मिश्रण का मूल्य 25.20 रुपये प्रति किग्रा हो जाए?

Correct Answer: (1) 2 : 3
Solution:

53. यदि (a + b) का 10% = (a - b) का 50% तो a : b है:

Correct Answer: (3) 3 : 2
Solution:(a + b) का 10%

= (a - b) का 50%

(a + b) 10 = (a - b) 50

⇒ 10a + 10b = 50a - 50b

⇒ 50a - 10a = 10b + 50b

⇒ 40a = 60b

⇒ a/b = 60/40 = 3/2

⇒ a : b = 3 : 2

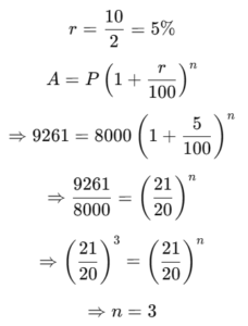
54. 8,000 की राशि 10% वार्षिक चक्रवृद्धि ब्याज पर कितने वर्षों में 9,261 रुपये हो जाएगी, ब्याज प्रति छमाही संयोजित होता है?

Correct Answer: (1)
Solution:ब्याज प्रति छमाही संयोजित होता है।

∴ समय = 3/2 = 1.5 वर्ष

55. आधार त्रिज्या 3 सेमी तथा उँचाई 5 सेमी वाले धातु के एक ठोस बेलन को पिघलाकर शंकु बनाए गए जिनमें प्रत्येक की उँचाई 1 सेमी तथा आधार त्रिज्या 1 मि.मी. है। इस प्रकार बने शंकुओं की संख्या है:

Correct Answer: (5) उत्तर नहीं देना चाहते
Solution:

शंकुओं की संख्या =

बेलन का आयतन / शंकु का आयतन

= πr²h / (1/3)πR²H

= (3 × 3² × 5²) / (1/10)² × 1

= 3 × 9 × 25 × 100

= 67500

56. Select the alternative which best describes the underlined idiomatic expression.

You may rush from pillar to post, but you stand no chance of getting what you want without hard work.

Correct Answer: (1) rush in all directions and suffer much harassment
Solution:(Go/rush) from pillar to post (Idiom)= मारा मारा फिरना (frome one place to another in an unceremorious or fruitless manner)

अतः Hence, "rush in all direction and suffer much harassment" उपयुक्त विकल्प है।

57. Choose the correct alternative to improve the underlined part of the following sentence. If no improvement is required, your answer is (3).

You will face many defeats in life but never let themselves be defeated.

Correct Answer: (1) yourself be defeated
Solution:वाक्य का subject you है जिसके के लिए reflexive pronoun "yourself" का प्रयोग होगा। Underlined part passive form में है। अतः defeated का प्रयोग होगा।

58. Fill in the blank with correct form of Verb.

Time and tide ......... for none.

Correct Answer: (4) wait
Solution:जब दो singular uncountrable noun “and” से जुड़े हो और वाक्य में subject के रूप में प्रयोग किये गए हो तो plural verb का प्रयोग होता है।

अतः wait सबसे उपयुक्त विकल्प है।

59. Pick out the correctly spelt word.

Correct Answer: (1) tempestuous
Solution:The correctly spelt word is शब्द "tempestuous" है

Tempestuous (Adjective)= (तूफानी, बहुत तेज) very stormy.

60. Pick out the antonym of the underlined word in the following sentence.

He was afraid of losing the match.

Correct Answer: (3) confident
Solution:Afriad (Adjective)= (डरा हुआ, भयभीत) feeling fear or anxiety, frightened.

Nervous (Adjective)= (परेशान, बेचैन) tending to be anxious; distressing.

Shaken (past participle of shake) = (हिलना, काँपना, व्याकुल होना) a fit of trembling or shivering; oscillate; shiver.

Confident (Adjective) = (आत्म विश्वासी, आश्वस्त)

self-assured

Hesitant (Adjective)= (संशयशील, ढुलमुल, हिचकिचाने वाला) tentative, unsure, or slow in acting or speaking.

Hence, confident is the antonym of afraid.

अतः Afraid का antonym confident है।