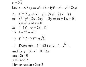
(Mathematics) NDA/NA Solved Paper 2017-ITotal Questions: 5011. The modulus and principal argument of the complex number 1 + 2i/1-(1-i)² are respectively.(a) 1,0(b) 1,1(c) 2,0(d) 2,1Correct Answer: (a) 1,0Solution:12. If the graph of a quadratic polynomial lies entirely above x-axis, then which one of the following is correct?(a) Both the roots are real(b) One root is real and the other is complex(c) Both the roots are complex(d) Cannot sayCorrect Answer: (c) Both the roots are complexSolution:Since the graph is not meeting the x - axis at all, roots are Complex numbers.13. If |z+5| ≤3, then the maximum value of | z+1 | is(a) 0(b) 4(c) 6(d) 10Correct Answer: (c) 6Solution:14. The number of roots of the equation z² = 2z̅ is(a) 2(b) 3(c) 4(d) zeroCorrect Answer: (c) 4Solution:15. If cot α and cot β are the roots of the equation x²+ bx + c=0 with b≠0, then the value of cot (α+ β) is(a) c-1/b(b) 1-c/b(c) b/c-1(d) b/1-cCorrect Answer: (b) 1-c/bSolution:16. The sum of the roots of the equation x²+ bx + c= 0 (where band c are non-zero) is equal to the sum of the reciprocals of their squares. Then 1/c, b, c/a are in(a) AP(b) GP(c) HP(d) None of the aboveCorrect Answer: (c) HPSolution:17. The sum of the roots of the equation ax² + x + c= 0 (where a and c are non-zero) is equal to the sum of the reciprocals of their squares. Then a, ca², c² are in(a) AP(b) GP(c) HP(d) None of the aboveCorrect Answer: (a) APSolution:18. The value of [C (7, 0) + C (7, 1)] + [C (7, 1)+ C (7, 2)] + ....... + [C (7, 6) + C (7, 7)] is(a) 254(b) 255(c) 256(d) 257Correct Answer: (a) 254Solution:19. The number of different words (eight-letter words) ending and beginning with a consonant which can be made out of the letters of the word 'EQUATION' is(a) 5200(b) 4320(c) 3000(d) 2160Correct Answer: (b) 4320Solution:EQUATION-8 letters. Consonants -Q, T, N-3 letters. first letter of 8-letter word can be any of 3 consonants Last letter of 8- letter word can be remaining 2 consonants. The middle 6- letters can be arranged in 6! ways. So, number of different words = 3×2×6! =6× 720 = 4320.20. The fifth term of an AP of n terms, whose sum is n² -2n, is(a) 5(b) 7(c) 8(d) 15Correct Answer: (b) 7Solution:Given, Sₙ =n²-2n. We know, Tₙ =Sₙ - Sₙ₋₁ So, T₅, = S₅ - S₄ S₅ = 5²- 2 (5) = 25–10 = 15 S₄ = 4²-2 (4) = 16-8 = 8 So, T₅ = 15-8 = 7.Submit Quiz« Previous12345Next »