(Mathematics) NDA/NA Solved Paper 2017-I

Total Questions: 50

21. The sum of all the two-digit odd numbers is [The sum of the first n terms of the series 1/2 + 3/4 + 7/8 + 15/16 + .........]

Correct Answer: (a) 2475
Solution:

Sum of odd numbers = n²
Two-digit odd numbers are from 11-99.
Number of odd numbers from 1 to 99=50
Sum of odd numbers from 1 to 99 = 50²=2500
Number of odd numbers from 1+9=5
Sum of odd numbers from I to 9=5² =25
So, Sum of all two digit odd numbers
= 2500-25 = 2475.

22. The sum of the first n terms of the series 1/2 + 3/4 + 7/8 + 15/16 + .........

Correct Answer: (c) 2⁻ⁿ + n-1
Solution:

23. Consider the following in respect of sets A and B:

1. (A - B) ∪ B = A
2. (A - B) ∪ A = A
3. (A - B) ∩ B = ф
4. A ⊆ B ⇒ A ∪ B = B
Which of the above are correct?

Correct Answer: (b) 2, 3 and 4
Solution:

24. In the binary equation (1p101)₂+(10q1)₂ =(100r00)₂ where p, q and r are binary digits, what are the possible values of p, q and r respectively?

Correct Answer: (a) 0, 1,0
Solution:

(1pl01)₂+(10q1)₂=(100r00)₂
⇒(1×2⁴+p×2³+1×2²+0×2¹× 2⁰) + (1 ×2³+0x2²+q×2¹+1 × 2⁰)
=1×2⁵+0+0+r×2²+0+0
⇒16+8p+4+1+8+2q+1 =32+4r
⇒ 30+8p+2q= 32+4r
⇒ 8p+2q=2+4r
from options, substitute p=0, q=1, r = 0 we get
0+2(1)=2+0 ⇒ 2=2.

25. If S = (x : x² + 1 =0, x is real), then S is

Correct Answer: (d) an empty set
Solution:

S= {x :x²+1=0, x: 5 real}
x²+1 = 0 ⇒ x² = -1→x = √-1 → complex number
No real numbers. So, S is empty set

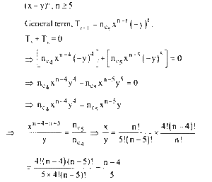
26. The expansion of (x - y)ⁿ, n ≥ 5 is done in the descending powers of x. If the sum of the fifth and sixth terms is zero, then x/y is equal to

Correct Answer: (b) n-4/5
Solution:

27. Solve the following equation.

Correct Answer: (c) ±3
Solution:

28. If B is a non-singular matrix and A is a square matrix, then the value of det (B⁻¹- AB) is equal to

Correct Answer: (b) det (A)
Solution:

29. Solve the following equation:

Correct Answer: (d) 0
Solution:

30. Solve the following equation:

Correct Answer: (b) Identify matrix
Solution: