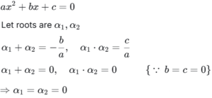
Algebra (Mathematics Chapterwise Solved Papers for Teaching) (Part-2)Theory of Equation and InequationsTotal Questions: 501. If the roots of a quadratic equation a𝓍²+b𝓍+6=0 are -3 and -2, then the value of 'b' is [DSE TGT 2022](a) 2(b) 3(c) 4(d) 5Correct Answer: (d) 5Solution:2. If the ratio of roots of an equation 𝓍² - p𝓍 + q = 0 is 1:2, then the relation between p and q is [DSSSB PGT 2021](a) p= q(b) 2p² = 9q(c) 9p = 2q²(d) p²= q³Correct Answer: (b) 2p² = 9qSolution:3. If 4 be the root of the equation 𝓍²+ a𝓍 - 12 = 0, then another root is [DSSSB PGT 2021](a) -2(b) 3(c) -3(d) 4Correct Answer: (c) -3Solution:4. If b = c = 0 in the equation a𝓍² + b𝓍 + c = 0, then the value of roots are(a) 0, 1(b) 1,1(c) 0,0(d) 1,0Correct Answer: (c) 0,0Solution:5. What is the nature of the roots of this equation 𝓍² - 2√7𝓍 - 2 = 0? [DSSSB PGT 2021](a) Real, Unequal, Irrational(b) Complex, Unequal(c) Real, Unequal, Rational(d) Real, Equal, RationalCorrect Answer: (a) Real, Unequal, IrrationalSolution:6. If a, b and c are real and rational and satisfies the condition a + b + c = 0, of the equation a𝓍² +b𝓍 + c = 0, then the roots are [DSSSB PGT 2021](a) Rational, Real(b) Irrational, Real(c) Complex(d) Not ExistingCorrect Answer: (a) Rational, RealSolution:7. The roots of the equation a𝓍² + b𝓍 + c = 0 being equal and having opposite signs can be possible only when [DSSSB PGT 2021 ](a) a = 0(b) b = 0(c) c = 0(d) a = b = c = 0Correct Answer: (b) b = 0Solution:8. What is the addition of two roots of the equation 3𝓍²- 5𝓍 + 7 = 0? [DSSSB PGT 2021](a) 5(b) -(5/3)(c) 5/3(d) -5Correct Answer: (c) 5/3Solution:3𝓍²- 5𝓍 + 7 = 0 ⇒ Sum of roots = 5/39. Which of the following equations is having the roots 2 and (-3)? [DSSSB PGT 2021](a) 𝓍² + 𝓍 - 6 = 0(b) 𝓍² - 𝓍 - 6 = 0(c) 𝓍² - 𝓍 + 6 = 0(d) 𝓍²- 5𝓍 - 6 = 0Correct Answer: (a) 𝓍² + 𝓍 - 6 = 0Solution:If 2 & -3 are roots, then equation 𝓍²-(2-3)𝓍+(2)(-3) =0 𝓍²+𝓍-6 = 010. If the subtraction of two roots is 2, of the equation 2𝓍² - 12𝓍 + m + 2 = 0, then the value of m is [DSSSB PGT 2021](a) m = 2(b) m = 7(c) m = 14(d) m = -2Correct Answer: (c) m = 14Solution:Submit Quiz12345Next »