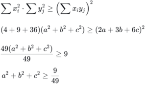
Algebra (Mathematics Chapterwise Solved Papers for Teaching) (Part-2)Theory of Equation and InequationsTotal Questions: 5011. If one root of any equation is (2 – 3i) (where i = √-1), then what is the equation? [DSSSB PGT 2021](a) 𝓍²- 4𝓍+12=0(b) 𝓍²- 4𝓍 + 13 = 0(c) 𝓍²+4𝓍-13= 0(d) 𝓍² + 4𝓍 +12 = 0Correct Answer: (b) 𝓍²- 4𝓍 + 13 = 0Solution:If one root is (2-31) then, other root will be (2+3i) Equation: 𝓍² -(4)𝓍 + (4-9i²) = 0 ⇒ 𝓍²-4𝓍+(4+9) = 0 ⇒ 𝓍²-4𝓍+13 = 012. Solve the following equation. [DSSSB PGT 2021](a) 1/2(b) 1(c) 0(d) -1Correct Answer: (c) 0Solution:13. Arrange the values in ascending order 2⁶³, 3⁴⁵, 5²⁷, 6¹⁸ [DSSSB PGT 2021](a) 2⁶³, 5²⁷, 6¹⁸, 3⁴⁵(b) 5²⁷, 6¹⁸, 2⁶³, 3⁴⁵(c) 3⁴⁵, 5²⁷, 2⁶³, 6¹⁸(d) 6¹⁸, 5²⁷,2⁶³, 3⁴⁵Correct Answer: (d) 6¹⁸, 5²⁷,2⁶³, 3⁴⁵Solution:14. If 3ˣ +3ʸ = 4, then the value of 3⁻ˣ + 3⁻ʸ is - [DSSSB PGT 2021](a) 1/2(b) 4/3(c) 1(d) 3/4Correct Answer: (b) 4/3Solution:15. Solve the following equation: [DSSSB PGT 2021 ](a) -(1/2)(b) 1/2(c) 0(d) 1Correct Answer: (c) 0Solution:16. If the mulitiplication of two roots is -3, then what is the value of 'b' from this equation 2𝓍²- 7𝓍+b=0 [DSSSB PGT 2021](a) -(3/2)(b) +(3/2)(c) -6(d) +6Correct Answer: (c) -6Solution:2𝓍²- 7𝓍+b=0 Product of root = -3 = (b/2) → b = -617. Solve the following equation? [DSSSB PGT 2021](a) 5/3(b) 25/3(c) 25/2(d) 15/5Correct Answer: (c) 25/2Solution:18. If p²+q² = 1 and m²+n² = 1 then- [DSSSB PGT 2021](a) |pq+mn| >1(b) |pq-mn| <1(c) |pm+qn| ≥1(d) |pm+qn| ≤1Correct Answer: (d) |pm+qn| ≤1Solution:19. If a, b, care positive real numbers and 2a+3b+6c = 3, then the minimum value of a²+b²+c² is : [DSSSB PGT 2021](a) 7/49(b) 9/49(c) 8/49(d) 6/49Correct Answer: (b) 9/49Solution:20. For any two positive numbers a and 𝓍, least value of a𝓍 + (a/𝓍) is : [DSSSB PGT 2021](a) a(b) 2a(c) √2a²(d) a²Correct Answer: (b) 2aSolution:Submit Quiz« Previous12345Next »