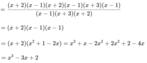
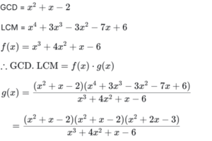
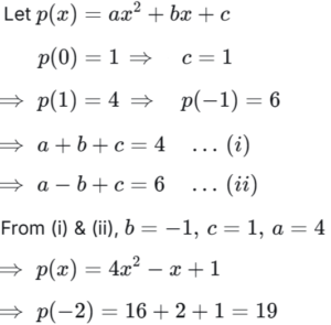
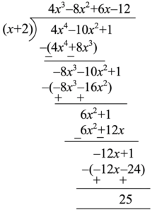
Algebra (Mathematics Chapterwise Solved Papers for Teaching) (Part-2)Theory of Equation and InequationsTotal Questions: 5021. Solve the following equation? [DSSSB PGT 2021](a) 64(b) 16(c) 80(d) 32Correct Answer: (a) 64Solution:22. If LCM and HCF of two quadratic are (๐ยณ+2๐ยฒ- ๐-2) and (๐+2) respectively then the euations are- [DSSSB PGT 2021](a) ๐ยฒ-3๐+2 and ๐ยฒ-๐-2(b) ๐ยฒ+3๐+2 and ๐ยฒ+๐โ2(c) ๐ยฒ+3๐+2 and ๐ยฒ+๐+2(d) ๐ยฒ-3๐+2 and ๐ยฒ+๐-2Correct Answer: (b) ๐ยฒ+3๐+2 and ๐ยฒ+๐โ2Solution:23. Two quadratic equations f(๐) and g(๐) are having G.C.D. and L.C.M. (๐ยฒ+๐-2) and (๐โด+3๐ยณ-3๐ยฒ-7๐+6) respectively. [DSSSB PGT 2021]If f(๐) = ๐ยณ+4๐ยฒ+x-6, then what is the value of g(๐) -(a) ๐ยณ-3๐-2(b) ๐ยณ-3๐ยฒ-2(c) ๐ยณ-3๐ยฒ+2(d) ๐ยณ-3๐+2Correct Answer: (d) ๐ยณ-3๐+2Solution: 24. If xโฟ-p๐ยฒ+r = 0 is having equal roots, then relation between n, p and r is - [DSSSB PGT 2021](a) nโฟrโฟโปยฒ = 4pโฟ (n-2)โฟโปยฒ(b) nโฟ-rโฟโปยน = 4p (n-2)n-1(c) nโฟrโฟ = 4p (n-2)โฟ(d) nโฟโปยฒ-rโฟโปยน = 4pโฟ (n-2)โฟโปยฒCorrect Answer: (a) nโฟrโฟโปยฒ = 4pโฟ (n-2)โฟโปยฒSolution: 25. Let P(๐) be a quadratic polynomial such that P(0) = 1. If P(๐) leaves remainder 4 when divided by ๐ - 1, and it leaves remainder 6 when divided by ๐+1, then [DSSSB PGT 2021](a) P(-2) = 11(b) P(-2) = 19(c) P(2) = 11(d) P(2) = 19Correct Answer: (b) P(-2) = 19Solution:26. The value of b, if ๐ยฒ-5๐ยฒ+4b๐+3 be divisible by (๐-3), is - [DSSSB PGT 2021](a) 2/5(b) 7/3(c) 3/4(d) 5/4Correct Answer: (d) 5/4Solution:27. The equation (๐ -a)ยณ+(๐ -b)ยณ+(๐ -c)ยณ+(๐ -d)ยณ = 0, where a, b, c, d are positive and not all equal, has - [DSSSB PGT 2021](a) Only one real root(b) Two real roots(c) No real root(d) All roots are equalCorrect Answer: (a) Only one real rootSolution:28. The polynomial a๐ยณ+ b๐ + c is divisible by ๐ ยฒ+ p๐ +1 if: [DSSSB PGT 2021](a) ac = bยฒ(b) bยฒ-cยฒ = ab(c) aยฒ+bยฒ = ac(d) aยฒ-cยฒ = abCorrect Answer: (d) aยฒ-cยฒ = abSolution:29. The remainder when 4๐โด-10๐ ยฒ+1 is divided by (๐+2) is: [DSSSB PGT 2021](a) 2(b) 32(c) 24(d) 25Correct Answer: (d) 25Solution: Thus, Remainder = 25.30. If 2 is the root of the equation ๐ยณ-6๐ยฒ+3๐+10 = 0, then the other roots are [DSE TGT 2019](a) 3,6(b) -1,5(c) -2, 5(d) 1/2, 3Correct Answer: (b) -1,5Solution:Submit Quiz« Previous12345Next »