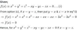
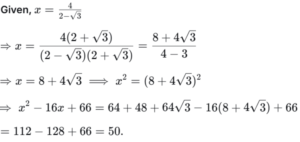
Algebra (Mathematics Chapterwise Solved Papers for Teaching) (Part-2)Theory of Equation and InequationsTotal Questions: 5031. If α₁, α,...., αₙ are the roots of an equation f(𝓍) = 0, then -α₁,-α₂,...., -αₙ are the roots of [DSE TGT 2019 ](a) -f(𝓍) = 0(b) f(-𝓍) = 0(c) f(-1/𝓍) =0(d) f(1/𝓍) = 0Correct Answer: (b) f(-𝓍) = 0Solution:32. If p, q and r are the roots of the equation 𝓍³ 9𝓍² + 26𝓍 - 24 = 0, then the value of sum of squares of p, q and r is [DSE TGT 2019](a) 23(b) 29(c) 27(d) 55Correct Answer: (b) 29Solution:33. Let f(𝓍) be a polynomial of degree n > 0 and a ∈ C, then (𝓍 - a) is a factor of f(𝓍) if there exists a polynomial q(𝓍) such that f(𝓍) = [DSE TGT 2019](a) (𝓍-a)q(𝓍)(b) aq(𝓍)(c) f(a)q(𝓍)(d) xq(𝓍)Correct Answer: (a) (𝓍-a)q(𝓍)Solution:By division algorithm Dividend = quotient × divisor + remainder Since, (𝓍-a) is a factor of f(𝓍), then remainder will be zero. Therefore, if q(𝓍) is quotient, then f(𝓍) divided by (𝓍-a) will be f(𝓍) = (𝓍-a) q(𝓍) +0 ⇒ f(𝓍) =(𝓍-a) q(𝓍)34. General solution of linear equation 2y+0𝓍+3 =0 in two variables is: [OAVS TGT 2021](a)(b)(c)(d)Correct Answer: (c)Solution:Given, 2y+ 0𝓍 +3=0 ⇒ 2y=-3 ⇒ y = (-3/2) Since, coefficient of 𝓍 is 'O'. Therefore, 𝓍 may be any real number. Hence, solution will be a, (-3/2) a is real.35. If 4𝓍³+a𝓍²-b𝓍+1= p(𝓍), then find p(0)+p(-1). [OAVS TGT 2021](a) 2b+3(b) 2a-3(c) 2b-3(d) 2a+3E. (*)Correct Answer: E. (*)Solution:36. If 𝓍²+y²+’ – 𝓍y - yz - z𝓍 = 0, then: [OAVS TGT 2021](a) 𝓍 ≠ y ≠ z(b) 𝓍 ≠ y, y = z(c) 𝓍 = y = z(d) 𝓍 = 1 = y, z = 0Correct Answer: (c) 𝓍 = y = zSolution:37. If m be the ratio of the roots of the equation a𝓍² + b𝓍 + c = 0, then which of the following relations is true? [OAVS TGT 2021](a)(b)(c)(d)Correct Answer: (d)Solution:38. Solve the following equation? [OAVS TGT 2021](a) 64(b) 50(c) 48(d) 49Correct Answer: (b) 50Solution:39. Solve the following equation? [OAVS TGT 2021](a) 289/9(b) 167/9(c) 176/9(d) 149/9Correct Answer: (b) 167/9Solution: 40. 2𝓍 -3𝓍³ - a𝓍²+b𝓍-2 divided by (𝓍 - 2) leaves remainder 6, divided by (𝓍 + 3) leaves remainder 196. Find the remainder when it is divided by 𝓍 + 2. [OAVS TGT 2021](a) 18(b) 9(c) 30(d) 23Correct Answer: (c) 30Solution:Submit Quiz« Previous12345Next »