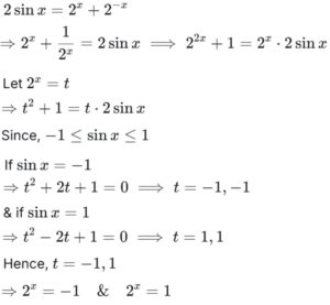
Algebra (Mathematics Chapterwise Solved Papers for Teaching) (Part-3)Theory of Equation and InequationsTotal Questions: 501. A boat goes 28 km upstream and 39 km downstream in 7 hours. In 9hours, it can go 35 km upstream and 52 km downstream. Determine the speed of the boat in still water. [OAVS TGT 2021 ](a) 10 km/h(b) 7 km/h(c) 3 km/h(d) 13 km/hCorrect Answer: (a) 10 km/hSolution: 2. If sum of squares of zeros of the quadratic polynomial f(π) = πΒ² - 8π + k is 40, then the value of k is: [OAVS TGT 2019](a) 12(b) 8(c) 14(d) 10Correct Answer: (a) 12Solution:3. If y = 8 +10 cos2π then which of the following is satisfied: [OAVS TGT 2019](a) -2β€y β€ 18(b) -1β€yβ€4(c) 0<y< 1(d) -1β€yβ€1Correct Answer: (a) -2β€y β€ 18Solution:4. If Ξ± and Ξ² are the zeros of the quadratic polynomial f(π) = πΒ² - pπ + q, then the value of Β² + BΒ² is: [OAVS TGT 2019](a) pΒ²-2q(b) qΒ²-2p(c) pΒ²+ 2q(d) qΒ²+ 2pCorrect Answer: (a) pΒ²-2qSolution:5. The value of k for which the equation has equal roots (k-12)πΒ² + 2(k-12)π + 2 = 0 is: [OAVS TGT 2019](a) k=-14(b) k=-12(c) k = 13(d) k = 14Correct Answer: (d) k = 14Solution:If any quadratic equation has equal roots then discriminant will be zero. 6. The number of real roots of 2sinπ = 2Λ£ +2β»Λ£ is: [OAVS TGT 2019](a) 0(b) 3(c) 2(d) 1Correct Answer: (a) 0Solution: 7. The equation β(π+1)-β(π-1)=β(4π-1) has: [OAVS TGT 2019](a) one solution(b) two solutions(c) more than two solutions(d) no solutionCorrect Answer: (a) one solutionSolution:8. The values of a and b so that πβ΄ + πΒ³ + 8πΒ² + aπ + b is divisible by πΒ² + 1 is equal to: [OAVS TGT 2019](a) a = 1; b = 7(b) a = -1; b = 7(c) a = -1; b = -7(d) a = 1; b = -7Correct Answer: (a) a = 1; b = 7Solution:9. Solve the following equation: [OAVS TGT 2019](a) βa/b(b) β(b/a)(c) 1(d) 0Correct Answer: (b) β(b/a)Solution:10. If the angle A of a triangle ABC is given by the equation 3 cosA + 2 = 0, then find the quadratic equation whose roots are sin A and tanA? [OAVS TGT 2019](a) 6πΒ²-5β5π+5=0(b) 6πΒ²+5β5π-5=0(c) 6πΒ²-β5π+5=0(d) 6πΒ² +β5π-5=0Correct Answer: (d) 6πΒ² +β5π-5=0Solution:Submit Quiz12345Next »