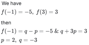
Algebra (Mathematics Chapterwise Solved Papers for Teaching) (Part-3)Theory of Equation and InequationsTotal Questions: 5041. Identify the roots of the equation ๐ยฒ-4๐+6 = 0.(a) +2(b) -2ยฑiโ2(c) 2ยฑiโ2(d) 2ยฑโ2Correct Answer: (c) 2ยฑiโ2Solution:42. If - 5x + 20 < โ 15, then(a) ๐ โ (7,โ)(b) ๐ โ [7,โ)(c) ๐ โ (-โ,7](d) ๐ โ [-7,7]Correct Answer: (a) ๐ โ (7,โ)Solution:-5๐ +20<-15 โ 5๐ -20> 15 โ 5๐>35 โ ๐>7 then ๐ โ (7,โ)43. If one root of the equation i๐ยฒ - 2(i +1)๐+(2-i)= 0 is 2-i, then the other root is- [KVS TGT 2017](a) -i(b) 2+i(c) i(d) 2-iCorrect Answer: (a) -iSolution:44. If a and b are odd integers then the roots of the equation 2a๐ยฒ+ (2a+b)๐+b = 0,a โ 0 [KVS TGT 2017](a) rational(b) irrational(c) non-real(d) equalCorrect Answer: (a) rationalSolution:45. If ฮฑ, ฮฒ be the roots of a๐ยฒ + b๐ + c = 0 then those of a๐ยฒ + 2b๐ + 4c = 0 are- [KVS TGT 2017](a)(b)(c)(d)Correct Answer: (d)Solution:46. The largest interval for which ๐ยนยฒ-๐โน+๐โด-๐+1> 0 is- [KVS TGT 2017](a) -4<๐โค0(b) 0<๐<1(c) -100<๐<100(d) -โ<๐ 8Correct Answer: (d) -โ<๐ 8Solution:47. If f(๐) = p๐ + q, where p and q are integers, f(-1) = -5 and f(3) =3, then p and q are equal to - [KVS TGT 2017](a) p = -3, q = -1(b) p = 2, q = -3(c) p = 0, q = 2(d) p = 2, q = 3Correct Answer: (b) p = 2, q = -3Solution:48. If ๐โฟ-1 is divisible by ๐-k, then the least positive integral value of k is- [KVS TGT 2017](a) 4(b) 3(c) 1(d) 2Correct Answer: (c) 1Solution:If ๐โฟ-1 is divisible by ๐ - k then ๐ - k is a factor of function ๐โฟ-1 and hence on putting ๐ = k in ๐โฟ -1 we get kโฟ -1 = 0 โ kโฟ -1 Therefore, the least positive integral value of k is 1.49. ๐ and a are real numbers. If a > 0 and |๐| > a then- [KVS TGT 2017](a) ๐ โ (-a,โ)(b) ๐ โ [-โ, ะฐ)(c) ๐ โ (-a, a)(d) ๐ โ(-โ,-a)โช(a, โ)Correct Answer: (d) ๐ โ(-โ,-a)โช(a, โ)Solution:If ๐, a are real numbers such that a > 0, |๐| > a then we must have ๐ โ(-โ,-a)โช(a, โ).50. If |๐ -1| > 5, then- [KVS TGT 2017](a) ๐ โ (-4,6)(b) ๐ โ [-4,6](c) ๐ โ (-โ,-4.)โช(6,โ)(d) ๐ โ [-โ,-3.)โช[6,โ)Correct Answer: (c) ๐ โ (-โ,-4.)โช(6,โ)Solution:Submit Quiz« Previous12345