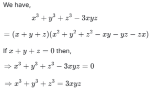
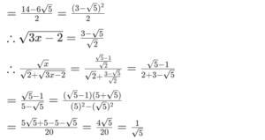
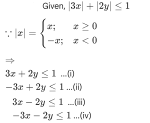
Algebra (Mathematics Chapterwise Solved Papers for Teaching) (Part-4)Theory of Equation and InequationsTotal Questions: 5021. Solve the following equation? [UKPSC Lecturer (Mains) 2020](a) (3, โ)(b) (1, 3](c) (-โ,3)(d) [1,โ)Correct Answer: (b) (1, 3]Solution:22. Suppose that |3๐|+|2y| โค1. Then the maximum value of 9๐+ 4y is: [UKPSC Lecturer (Mains) 2020](a) 1(b) 2(c) 3(d) 4Correct Answer: (c) 3Solution:Plot graph by taking these equation, 23. Solve the following equation? [Haryana PGT 2020](d) 1/โ5(a) 5(b) โ5(c) 1/5Correct Answer: (d) 1/โ5Solution: 24. What will be the value of ๐ยณ+ yยณ + zยณ, if ๐ + y + z =0? [DSSSB TGT 04-09-2021 Shift-I (Male)](a) 2๐yz(b) 3๐yz(c) ๐yz (๐z + yz + z๐)(d) ๐yzCorrect Answer: (b) 3๐yzSolution:25. Solve the following equation?(a) 4(b) 16(c) 64(d) 256Correct Answer: (c) 64Solution:26. If |๐+3| โฅ 10 then ๐ is [UKPSC GIC 2018, JDD-75-PGT TIER-II X-15, 28.06.2015, DSSSB TGT (Section B) 28-12-2014, Section B PGT TIER-I 31.11.2014](a) ๐ โ [-13, 7](b) ๐ โ (-โ, -13]โช[7, โ)(c) ๐ โ (-โ, -13)โช(7, โ)(d) ๐ โ (-13, 7)Correct Answer: (b) ๐ โ (-โ, -13]โช[7, โ)Solution:27. Solve the following equation? [UKPSC Lecturer (Mains) 2020](a) (-โ,โ)(b) (2, โ)(c) [2, โ)(d) Non-existentCorrect Answer: (c) [2, โ)Solution:28. The solution set of inequality2หฃ+2ยนโปหฃ-3<0 in R is: [UKPSC Lecturer (Mains) 2020](a) (0,1)(b) (-1,0)(c) (-1,1)(d) [-1,1]Correct Answer: (a) (0,1)Solution:29. Solution set of inequality 2 |๐+1| > ๐+ 4 [UKPSC Lecturer (Mains) 2020](a) (2, โ)(b) (-โ,-2)(c) (-โ,-2)โช(0, โ)(d) (-โ,-2)โช(2, โ)Correct Answer: (d) (-โ,-2)โช(2, โ)Solution:30. Solve the following equation? [UKPSC Lecturer (Mains) 2020](a) {2}(b) [2,โ)(c) [0,2](d) (-โ,2]Correct Answer: (d) (-โ,2]Solution:Submit Quiz« Previous12345Next »