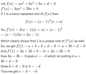
Algebra (Mathematics Chapterwise Solved Papers for Teaching) (Part-4)Theory of Equation and InequationsTotal Questions: 5041. If the equation 9√𝓍-7√𝓍-36 = -16, then the value of '𝓍' is: [Haryana TGT 2019](a) 5(b) 10(c) 20(d) 100Correct Answer: (d) 100Solution:42. If α, β,λ are zeros of the cubic polynomial a𝓍³ +b𝓍² +c𝓍 +d, then αβ+βγ+αγ is equal to: [Haryana TGT 2019](a) -(b/a)(b) b/a(c) c/a(d) d/aCorrect Answer: (c) c/aSolution:43. The zeros of the quadratic polynomial 𝓍² +99𝓍 +127 are: [Haryana TGT 2019](a) Both positive(b) Both negative(c) Both equal(d) One positive and one negativeCorrect Answer: (b) Both negativeSolution:Let α and β be the zeros of the quadratic polynomial 𝓍² + 99𝓍 + 127 Then we have Sum of zeros = α + β = -99 & Product of zeros = αβ = 127 Which clearly shows that both the zeros, α and β, must be negative.44. If the roots of the equation 3𝓍² + 2𝓍 + p(p - 1) = 0 are of opposite signs, then: [Haryana PGT 2020](a) p ∈ (-∞, 0)(b) p ∈ (0,1)(c) p ∈ (1, ∞)(d) p ∈ (4, ∞)Correct Answer: (b) p ∈ (0,1)Solution:Given equation 3𝓍² + 2𝓍 + p(p - 1) = 0 If the roots of the given equation are of opposite sign then product of roots is negative i.e. 45. If 1 is a twice repeated root of the equation a𝓍³ +b𝓍² +b𝓍+d = 0, then: [Haryana PGT 2018](a) a = d = b(b) a = d = -b(c) a= -d = b(d) -a = d = -bCorrect Answer: (b) a = d = -bSolution:46. If α, β are the roots of the equation 𝓍²-𝓍+1 = 0, the equation whose roots are α², β² is : [UKPSC GIC 2018](a) 𝓍²+𝓍-1=0(b) x²+𝓍+1= 0(c) 𝓍²-𝓍- 1 = 0(d) 𝓍⁴-𝓍²-1=0Correct Answer: (b) x²+𝓍+1= 0Solution:47. If α and β are the roots of the equation 𝓍²- 2𝓍 +4=0, then value of αⁿ+βⁿ is [(GIC) EXAM, 2015](a)(b)(c)(d)Correct Answer: (a)Solution:48. The roots of the equation 𝓍³- 12𝓍²+ 39𝓍 – 28-0 are in A.P., the common difference is [UP TGT-2016 (08-03-2019)](a) 2(b) 3(c) -2(d) 4Correct Answer: (b) 3Solution:49. If 𝓍–1 and 𝓍+3 are the two factors of 𝓍³+ a𝓍 +b, then remaining factor is [UP TGT-2016 (08-03-2019)](a) 𝓍+2(b) 𝓍-2(c) 𝓍-3(d) 𝓍+1Correct Answer: (b) 𝓍-2Solution:50. The equations 2𝓍-ky+7 =0 and 6𝓍-12y+15 = have no solution for [UP TGT-2016 (08-03-2019)](a) k= -4(b) k =4(c) k=1(d) k= -1Correct Answer: (b) k =4Solution:Submit Quiz« Previous12345