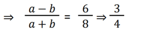
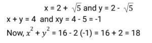
Algebra (Railway Maths) (Part – II)Total Questions: 5011. Solve: (a − b)³ + (b − 2c)³ + (−a + 2c)³. [Group D 25/08/2022 (Evening)](a) a − b + 2c(b) a − 2c + 4b(c) 3((a − b)(b − 2c)(−a + 2c))(d) (a − b + 2c)²Correct Answer: (c) 3((a − b)(b − 2c)(−a + 2c))Solution:12. The roots of quadratic equation that satisfies 12x² = 27x are: [Group D 25/08/2022 (Evening) ](a) 0, 3/4(b) 1, 4/3(c) 1, 3/4(d) 0, 9/4Correct Answer: (d) 0, 9/4Solution:13. Simplify (2z − 5y)² + (5z + 2y)² − 25z² [Group D 26/08/2022 (Morning)](a) 19y² + 4z²(b) 29y² + 4z²(c) 19y² − 4z²(d) 29y² − 4z²Correct Answer: (b) 29y² + 4z²Solution:After simplification, 4z² + 25y² - 20yz + 25z² + 4y² +20yz - 25z² = 29y² + 4z²14. The equation 2x² + 7x + 6 = 0 can be written as: [Group D 26/08/2022 (Morning)](a) (2x − 3)(x + 2) = 0(b) (2x + 3)(x + 2) = 0(c) (2x + 3)(x − 2) = 0(d) (2x − 3)(x − 2) = 0Correct Answer: (b) (2x + 3)(x + 2) = 0Solution:2x² + 7x +6 = 0 ⇒ 2x² + 4x + 3x + 6 = 0 ⇒ 2x(x + 2) + 3(x + 2) = 0 So, (2x + 3)(x + 2) = 015. If a² + b² = 50 and a × b = 7, find (a - b) / (a + b), where a>b. [Group D 26/08/2022 (Morning)](a) 3/5(b) 4/3(c) 5/3(d) 3/4Correct Answer: (d) 3/4Solution:16. If one of the roots of a quadratic equation is 1/ 2 - √2 , then find the quadratic equation. [Group D 26/08/2022 (Morning)](a) √2x² + 3x + 2 = 0(b) −2x² + 3x + 5 = 0(c) √2x² + 3x − 2 = 0(d) 2x² − 4x + 1 = 0Correct Answer: (d) 2x² − 4x + 1 = 0Solution:17. x² − 2x + 3 = 0 is a ______. [Group D 26/08/2022 (Afternoon)](a) cubic equation(b) quadratic equation(c) quadratic polynomial(d) cubic polynomialCorrect Answer: (b) quadratic equationSolution:A quadratic equation is a second order equation written as ax² + bx + c = 0 ,where a, b, and c are coefficients of real numbers and a ≠ 0. We can clearly see that x² -2x +3 =0 is a quadratic equation.18. Find the quadratic equation whose roots are equal to the sum and product of the roots of the quadratic equation 2x² + 4x − 1 = 0. [Group D 26/08/2022 (Afternoon)](a) −x² + 5x + 1 = 0(b) x² + 2x + 5 = 0(c) 2x² − x + 5 = 0(d) 2x² + 5x + 2 = 0Correct Answer: (d) 2x² + 5x + 2 = 0Solution:19. If x³ − 3x + 6 = 0 then it is ______. [Group D 26/08/2022 (Evening)](a) a quadratic equation(b) a quadratic expression(c) not a quadratic equation(d) a linear equationCorrect Answer: (c) not a quadratic equationSolution:x³ - 3x + 6 = 0 A quadratic equation is a second order equation written as ax ² + bx + c = 0 where a, b, and c are coefficients of real numbers and a ≠ 0. we can clearly see that x³ - 3x + 6 = 0 is not a quadratic equation.20. If x = 2 + √5 and y = 2 − √5, then find the value of x² + y². [Group D 26/08/2022 (Evening)](a) 18(b) 20(c) 16(d) 22Correct Answer: (a) 18Solution:Submit Quiz« Previous12345Next »