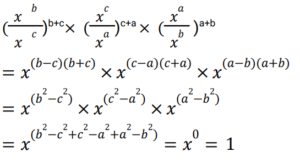
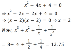
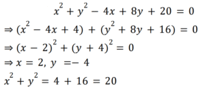
Algebra (Railway Maths) (Part – II)Total Questions: 5041. If x² − 4x + 4 = 0, then the value of x³ + x² + 1/x + 1/x² is: [Group D 01/09/2022 (Evening)](a) 15.75(b) 14.75(c) 12.75(d) 13.75Correct Answer: (c) 12.75Solution:42. If x² − 2x + 1 = 0, then it has: [Group D 01/09/2022 (Evening)](a) five roots(b) two roots(c) three roots(d) four rootsCorrect Answer: (b) two rootsSolution:x² - 2x + 1 = 0 A quadratic equation always has 2 roots.43. Which of the following quadratic equations has one of its roots as 4 − 2√5? [Group D 02/09/2022 (Morning)](a) x² − 8x + 4 = 0(b) x² − 4x − 8 = 0(c) x² − 4x + 4 = 0(d) x² − 8x − 4 = 0Correct Answer: (d) x² − 8x − 4 = 0Solution:44. Find the values of b for which the quadratic equation 4x² + bx + 1 = 0 has equal roots. [Group D 02/09/2022 (Afternoon)](a) Only −4(b) −4 and 4(c) Only 4(d) −8 and 8Correct Answer: (b) −4 and 4Solution:45. If α and β, where α > β, are the roots of the equation 5x² − 3x − 2 = 0, then what is the value of (α − 2β)? [Group D 02/09/2022 (Afternoon)](a) 9/5(b) 1/5(c) 7/5(d) 11/5Correct Answer: (a) 9/5Solution:46. If x² + y² − 4x + 8y + 20 = 0, then the value of x² + y² is: [Group D 02/09/2022 (Afternoon)](a) 30(b) 20(c) 10(d) 40Correct Answer: (b) 20Solution:47. Find the answer of given question? [Group D 02/09/2022 (Evening) ](a) 6(b) 5(c) 4(d) 7Correct Answer: (b) 5Solution:48. A quadratic equation whose roots are −2/3 and −3/2 is: [Group D 02/09/2022 (Evening)](a) 6x² − 13x − 1 = 0(b) 6x² − 13x + 6 = 0(c) 6x² + 13x + 6 = 0(d) 6x² + 13x + 1 = 0Correct Answer: (c) 6x² + 13x + 6 = 0Solution:49. For the equation 2x² + bx + 3 = 0, the smaller root is 0.5. Find the value of b. [Group D 02/09/2022 (Evening)](a) −7(b) −2(c) 1(d) 5Correct Answer: (a) −7Solution:50. Find the answer of given question? [Group D 05/09/2022 (Morning) ](a) 3(b) 2(c) 1(d) 0Correct Answer: (c) 1Solution:Submit Quiz« Previous12345