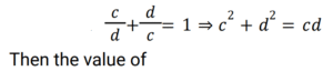
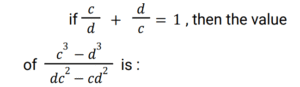
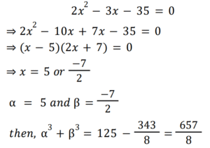
Algebra (Railway Maths) (Part – IV)Total Questions: 5011. If α, β are the roots of the quadratic equation 2x² − 3x − 35 = 0, then the value of α³ + β³ is: [Group D 16/09/2022 (Afternoon)](a) 757/8(b) 657/8(c) 857/8(d) 957/8Correct Answer: (b) 657/8Solution:12. If 25 − (x² − 9) = (81)¹ᐟ², then the positive value of x = ________. [Group D 16/09/2022 (Afternoon)](a) 5(b) 2(c) 4.7(d) 2.5Correct Answer: (a) 5Solution:13. Which of the following is the standard representation of quadratic equation (x² + 1)(x − 1) = (x² − 3)(x + 3)? [Group D 16/09/2022 (Evening)](a) x² − 3x − 4 = 0(b) 4x² − x − 6 = 0(c) 4x² − 8 = 0(d) 4x² − 4x − 8 = 0Correct Answer: (d) 4x² − 4x − 8 = 0Solution:(x² + 1) (x - 1) = (x² - 3) (x + 3) ⇒ (x³ - x² + x - 1) = (x³ + 3x² - 3x - 9) ⇒ 4x² - 4x - 8 = 014. The discriminant of a quadratic equation is 0. The quadratic equation has: [Group D 17/09/2022 (Morning) ](b) no real roots(c) three distinct real roots(d) two distinct real roots(a) two equal real rootsCorrect Answer: (a) two equal real rootsSolution:If discriminant = 0 Then the quadratic equation has two equal roots.15. The value of the discriminant of the quadratic equation 2x² - 4x - 3 = 0 is [Group D 17/09/2022 (Afternoon) ](a) 24(b) 36(c) 40(d) 16Correct Answer: (c) 40Solution:16. If α, β be the roots of the quadratic equation 3x² − 9x + 8 = 0, then the value of (α/β + β/α) + 4(1/α + 1/β) is: [Group D 17/09/2022 (Afternoon)](a) 6.125(b) 7.225(c) 4.825(d) 5.875Correct Answer: (d) 5.875Solution:17. The roots of the quadratic equation x + 10/x = 7 are: [Group D 17/09/2022 (Evening) ](a) - 2 , 5(b) 5 , 2(c) 2 , - 5(d) - 5 , 1Correct Answer: (b) 5 , 2Solution:18. Find the answer of given question? [Group D 18/09/2022 (Morning) ](a) - 1(b) 1(c) 0(d) 2Correct Answer: (d) 2Solution:19. The roots of quadratic equation 3x² − 2√6x + 2 = 0 [Group D 18/09/2022 (Morning)](a) √1/√3 , √1/√3(b) √5/√3 , √5/√3(c) √2/√3 , √2/√3(d) √5/√3 , √2/√3Correct Answer: (c) √2/√3 , √2/√3Solution:20. The quadratic equation whose roots are 1/√2 and 1/√2 is: [Group D 18/09/2022 (Morning)](a) 2x² − 2√2x + 2 = 0(b) 2x² − 3√2x + 2 = 0(c) 2x² − 3√2x + 1 = 0(d) 2x² − 2√2x + 1 = 0Correct Answer: (d) 2x² − 2√2x + 1 = 0Solution:Submit Quiz« Previous12345Next »