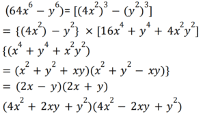
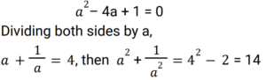
Algebra (Railway Maths) (Part – IV)Total Questions: 5021. The sum of roots of x² − px + q = 0 is ______. [Group D 18/09/2022 (Morning)](a) −p(b) 1/p(c) p(d) qCorrect Answer: (c) pSolution:x² - px + q = 0 Sum of the roots = -b/a = p/1 = p22. If 3 is root of the equation x² − px + 15 = 0 and the quadratic equation x² + px + q = 0 has equal roots, then the value of q is [Group D 18/09/2022 (Evening)](a) 16(b) 12(c) 64(d) 32Correct Answer: (a) 16Solution:23. Which of the following is a quadratic equation written in standard form? [Group D 18/09/2022 (Evening)](a) 5x² + 3x − 1 = 0(b) 5x² + 3x = 1/x(c) x⁻² + 7x = 8(d) x³ + 5x² + 3 = x⁴Correct Answer: (a) 5x² + 3x − 1 = 0Solution:Standard form of a quadratic equation = ax² + bx + c = 0 Now, from option 5x² + 3x - 1 = 0 is a quadratic equation.24. Factorise (64 x⁶ - y⁶). [Group D 19/09/2022 (Morning) ](a)(b)(c)(d)Correct Answer: (b)Solution:25. Which of the following is the standard representation of quadratic equation (x − 4)(x + 1) = 2? [Group D 19/09/2022 (Morning)](a) x² − 3x − 6 = 0(b) x² − 4x − 2 = 0(c) x² − x − 2 = 0(d) x² − 3x − 4 = 0Correct Answer: (a) x² − 3x − 6 = 0Solution:(x - 4) (x + 1) = 2 = x² - 3x - 4 - 2 = 0 ⇒ x² - 3x - 6 = 026. What kind of roots does the quadratic equation 5x² + 7x + 4 = 0 have? [Group D 19/09/2022 (Morning)](a) No real roots(b) Only one real root(c) Real and equal roots(d) Real and unequal rootsCorrect Answer: (a) No real rootsSolution:27. The equation (x + 1)³ − (x − 1)³ = 0 is: [Group D 19/09/2022 (Afternoon)](a) a linear equation with real roots(b) a quadratic equation with real roots(c) a quadratic equation with non-real roots(d) a linear equation with non-real rootsCorrect Answer: (c) a quadratic equation with non-real rootsSolution:28. If α, β are the roots of px² + qx + r = 0, then α² + β² = ______. [Group D 19/09/2022 (Afternoon)](a) (q² + 2pr) / p²(b) (q² − 2qr) / p²(c) 2pq(d) −2pqCorrect Answer: (b) (q² − 2qr) / p²Solution:29. If a² − 4a + 1 = 0, find a² + 1/a². [Group D 19/09/2022 (Afternoon)](a) 14(b) 16(c) 18(d) 12Correct Answer: (a) 14Solution:30. Find the answer of given question? [Group D 19/09/2022 (Afternoon) ](a) 3/2(b) 1/4(c) 1/2(d) 2/5Correct Answer: (b) 1/4Solution:Submit Quiz« Previous12345Next »