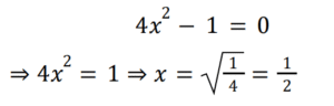
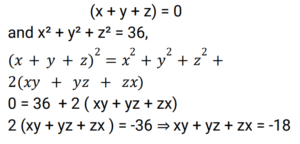
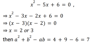
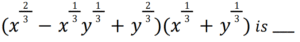
Algebra (Railway Maths) (Part – IV)Total Questions: 5031. Which of the options given below correctly describes the nature of the roots of the quadratic equation x² + 4√3x + 3 = 0? [Group D 19/09/2022 (Evening) ](a) irrational and equal(b) irrational and unequal(c) rational and equal(d) rational and unequalCorrect Answer: (b) irrational and unequalSolution:32. The roots of 2²ˣ - 10 × 2ˣ + 16 = 0 are : [Group D 19/09/2022 (Evening) ](a) 2 , 3(b) 1 , 8(c) 2 , 8(d) 1 , 3Correct Answer: (d) 1 , 3Solution:33. The positive root of 4x² − 1 = 0 is: [Group D 20/09/2022 (Morning)](a) 1/2(b) 1/4(c) 1(d) 2Correct Answer: (a) 1/2Solution:34. If one of the roots of a quadratic equation with rational coefficients is 2 + √3, then the quadratic equation is given as [Group D 20/09/2022 (Morning)](a) x² = 2 − √3(b) x² − 4x + 1 = 0(c) x² + 4x − 1 = 0(d) x² − 2 = 0Correct Answer: (b) x² − 4x + 1 = 0Solution:35. If (x + y + z) = 0 and x² + y² + z² = 36, then the value of xy + yz + zx is: [Group D 20/09/2022 (Morning)](a) −18(b) −6(c) 18(d) −28Correct Answer: (a) −18Solution:36. The value of [Group D 20/09/2022 (Morning) ](a) x - y(b) 1/x + 1/y(c) 1/x - 1/y(d) x + yCorrect Answer: (d) x + ySolution:37. If the two roots of a quadratic equation are −3 and 3, then the quadratic equation is given as ________. [Group D 20/09/2022 (Afternoon)](a) x² + 5 = 0(b) 9x² − 1 = 0(c) x² − 9 = 0(d) x² − 6 = 0Correct Answer: (c) x² − 9 = 0Solution:38. If a, b are the roots of the equation x² − 5x + 6 = 0, then a² + b² − ab is: [Group D 20/09/2022 (Evening)](a) −7(b) 9(c) 7(d) 43Correct Answer: (c) 7Solution:39. The product of the roots of 6√3x² + 5x + 3√3 = 0 is [Group D 20/09/2022 (Evening)](a) 1/2(b) 1(c) √3(d) 0Correct Answer: (a) 1/2Solution:40. An equation, whose roots are the reciprocals of the roots of the equation 5x² − 3x − 4 = 0, is: [Group D 22/09/2022 (Morning)](a) 4x² − 3x − 5 = 0(b) 4x² + 3x − 5 = 0(c) 4x² − 3x + 5 = 0(d) 4x² − 3x + 5 = 0Correct Answer: (b) 4x² + 3x − 5 = 0Solution:Submit Quiz« Previous12345Next »