Algebra (Railway Maths) (Part – IV)

Total Questions: 50

41. Which of the options below is equivalent to 8x² + 27y³ + 36x²y + 54xy²? [Group D 22/09/2022 (Morning)]

Correct Answer: (b) (2x + 3y)³
Solution:

42. If the sum of the roots of a quadratic equation is −7 and product of the roots of the same equation is −12, then the quadratic equation is given as ________. [Group D 22/09/2022 (Morning)]

Correct Answer: (a) x² + 7x − 12 = 0
Solution:

43. Simplify the given expression (x − y)³ + (x + y)³ + 3(x − y)(x² − y²) + 3x(x² − y²) [Group D 22/09/2022 (Morning)]

Correct Answer: (d) 8x³
Solution:

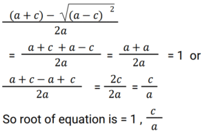
44. If a + b + c = 0, then the roots of the equation ax² + bx + c = 0 are [Group D 22/09/2022 (Afternoon)]

Correct Answer: (a) 1, c/a
Solution:

45. For the equation (x + 4)(x − 4) = 0, the value of the discriminant is equal to ________. [Group D 22/09/2022 (Afternoon)]

Correct Answer: (c) 64
Solution:

(x + 4) (x - 4) = 0
⇒ x² - 16 = 0
D = b² - 4ac = 0 + 64 ⇒ D = 64

46. Simplify (7x − 1)³ + (7x + 1)³. [Group D 22/09/2022 (Evening)]

Correct Answer: (d) 686x³ + 42x
Solution:

47. Determine the positive value of k for which the equations x² + kx + 64 = 0 and x² − 8x + k = 0 will both have real roots. [Group D 22/09/2022 (Evening)]

Correct Answer: (c) 16
Solution:

For the quadratic equation to have real roots, the discriminant must be greater than or equal to zero.
For the first equation k² - 4(1)(64) > 0
(discriminant = b² - 4ac) ⇒ k² - 256 > 0
⇒ (k - 16) (k + 16) > 0 ⇒ k > 16 and k < -16 For the second equation
64 - 4k > 0 ⇒ k < 16
The value of K that satisfies both the condition is k = 16

48. The sum of the roots of the equation x² + 3a² = 4ax is: [Group D 22/09/2022 (Evening)]

Correct Answer: (c) 4a
Solution:

x² + 3a² = 4ax
⇒ x² - 4ax + 3a² = 0
Sum of the roots = -b/a = 4a

49. If −2 is a root of the equation 3x² + px + 2 = 0, and 7x² + px + k = 0 has equal roots, then what is the value of k? [Group D 26/09/2022 (Morning)]

Correct Answer: (b) 7/4
Solution:

50. If the roots of the quadratic equation x² − kx + 169 = 0 are equal, find the value of k. [Group D 26/09/2022 (Morning)]

Correct Answer: (a) ±26
Solution: