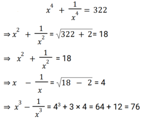
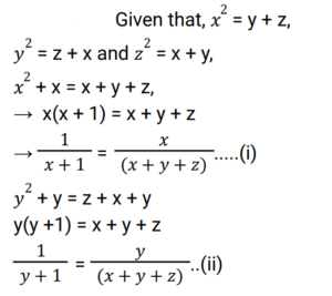
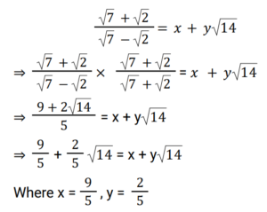
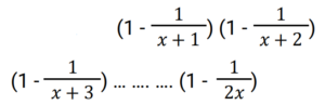
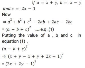
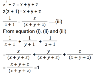
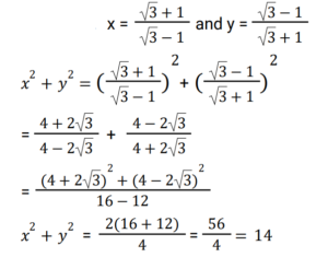
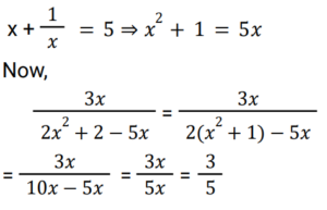
Algebra (Railway Maths) (Part – VII)Total Questions: 5011. Find the answer of given question? [RRB NTPC 23/01/2021 (Morning) ](a) x-1 / 2x(b) 1/2(c) 2x + 1 / 2x(d) 3/2Correct Answer: (b) 1/2Solution:12. Find the value of a² + b² + c² − 2ab + 2ac − 2bc, if a = x + y, b = x − y and c = 2x − 1 [RRB NTPC 25/01/2021 (Morning)](a) 0(b) (2x + 2y − 1)²(c) (2x − 2y − 1)²(d) (x − y − 1)²Correct Answer: (b) (2x + 2y − 1)²Solution:13. If (√7 + √2) / (√7 − √2) = x + y√14, find the value of y. [RRB NTPC 25/01/2021 (Morning)](a) 6/5(b) 4/5(c) 3/5(d) 2/5Correct Answer: (d) 2/5Solution:14. If x = (√3 + 1) / (√3 − 1) and y = (√3 − 1) / (√3 + 1), then find the value of x² + y². [RRB NTPC 27/01/2021 (Evening)](a) 10(b) 16(c) 14(d) 12Correct Answer: (c) 14Solution:15. If (3√2 − 2√3) / (3√2 + 2√3) = a + b√6, then find the value of b. [RRB NTPC 27/01/2021 (Evening)](a) −5(b) 5(c) 2(d) −2Correct Answer: (d) −2Solution:16. If x² = y + z, y² = z + x and z² = x + y, then find the value of 1/(x + 1) + 1/(y + 1) + 1/(z + 1) [RRB NTPC 28/01/2021 (Morning)](a) 4(b) −1(c) 2(d) 1Correct Answer: (d) 1Solution:17. If (3√5 − 5) / (3√5 + 5) = a + b√5, then find the value of b. [RRB NTPC 28/01/2021 (Morning)](a) 7/2(b) 3√5/2(c) 3/2(d) −3/2Correct Answer: (d) −3/2Solution:18. If x⁴ + 1/x⁴ = 322 and x > 1, then what is the value of x³ − 1/x³? [RRB NTPC 28/01/2021 (Evening)](a) 72(b) 78(c) 76(d) 74Correct Answer: (c) 76Solution:19. If √(x/144) = 27/12, find the value of x [RRB NTPC 28/01/2021 (Evening)](a) 727(b) 724(c) 629(d) 729Correct Answer: (d) 729Solution:20. If x + 1/x = 5, then the value of 3x / (2x² + 2 − 5x) will be: [RRB NTPC 29/01/2021 (Morning)](a) 5/3(b) 3/5(c) 2/3(d) 2/5Correct Answer: (b) 3/5Solution:Submit Quiz« Previous12345Next »