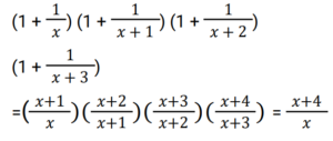
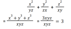
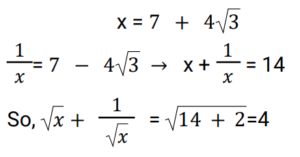
Algebra (Railway Maths) (Part – VII)Total Questions: 5021. Find the value of x in the given equation. √2401 / x = x / 6.25 [RRB NTPC 29/01/2021 (Evening)](a) 15.5(b) 17.5(c) 27.5(d) 7.5Correct Answer: (b) 17.5Solution:22. If a + b + c = 0, then find the value of (a² + b² + c²)² / (a²b² + b²c² + c²a²) [RRB NTPC 30/01/2021 (Morning)](a) 2(b) 0(c) 1(d) 4Correct Answer: (d) 4Solution:23. If (2√2 + √7) / (2√2 − √7) = x + y√14, find the value of y. [RRB NTPC 30/01/2021 (Morning)](a) 4(b) 0(c) 19(d) 15Correct Answer: (a) 4Solution:24. If a¹/³ = 6, then find the value of a² − 36a. [RRB NTPC 30/01/2021 (Evening)](a) 7776(b) 38880(c) −180(d) 0Correct Answer: (b) 38880Solution:25. If x = 7 + 4√3 then find value of √x + 1/√x(a) 4√2(b) 6(c) 1 + √2(d) 4Correct Answer: (d) 4Solution:26. Find the answer of given question? [RRB NTPC 02/02/2021 (Morning) ](a) 8/25 or 17/25(b) 9/25 or 16/25(c) 19/25 or 6/25(d) 12/25 or 13/25Correct Answer: (b) 9/25 or 16/25Solution:27. If x + y + z = 0, then what will be the value of x²/yz + y²/zx + z²/xy ? [RRB NTPC 02/02/2021 (Morning) ](a) x²y²z² / x(b) 3(c) 3x² + 3y² + 3z² / x(d) x² + y² + z²Correct Answer: (b) 3Solution:28. Solve the following: [RRB NTPC 02/02/2021 (Morning)](a) 1 + 1/(x + 4)(b) x + 4(c) 1/x(d) (x + 4)/xCorrect Answer: (d) (x + 4)/xSolution:29. If the sum of three numbers is zero, then which of the options below will always be equal to the value of the sum of the cubes of those numbers? [RRB NTPC 02/02/2021 (Evening)](a) One(b) Three times the product of the three numbers(c) Product of the three numbers(d) ZeroCorrect Answer: (b) Three times the product of the three numbersSolution:If a + b + c = 0 Then a³ + b³ + c³ = 3abc30. The pair of equations 2ˣ ⁺ ʸ = 16 and 64ˣ ⁻ ʸ = 2 has: [RRB NTPC 03/02/2021 (Morning)](a) Unique solution x = 23/12, y = 25/12(b) Infinite solutions(c) No common solution(d) Unique solution x = 25/12, y = 23/12Correct Answer: (d) Unique solution x = 25/12, y = 23/12Solution:Submit Quiz« Previous12345Next »