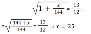
Algebra (Railway Maths) (Part – VII)Total Questions: 5031. What is the square root of the following ? (x² - 14x + 49) (x² + 6x + 9) [RRB NTPC 03/02/2021 (Evening) ](a) (x – 4)(x + 9)(b) (x – 7)(x + 3)(c) (x –1)(x + 17)(d) (x – 3)(x + 8)Correct Answer: (b) (x – 7)(x + 3)Solution:32. If x = 12 and y = 7, then the value of (x² + y² − xy) / (x³ + y³) is: [RRB NTPC 04/02/2021 (Morning)](a) 2/19(b) 1/19(c) 1/2(d) 1/5Correct Answer: (b) 1/19Solution:33. If 11 = 11x / (1 − x), then the value of (2x)² is: [RRB NTPC 04/02/2021 (Morning)](a) 4(b) 2(c) 3(d) 1Correct Answer: (d) 1Solution:34. Which of the following is a factor of the polynomial x² − x − 20? [RRB NTPC 05/02/2021 (Morning)](a) x + 2(b) x − 5(c) x − 4(d) x + 5Correct Answer: (b) x − 5Solution:35. Find the value of x, if x / √128 = √162 / x [RRB NTPC 05/02/2021 (Morning) ](a) 144(b) 196(c) 14(d) 12Correct Answer: (d) 12Solution:36. The sum of two numbers is 27 and the difference of their squares is 243. What is the difference between the numbers? [RRB NTPC 05/02/2021 (Morning)](a) 9(b) 72(c) 42(d) 3Correct Answer: (a) 9Solution:37. If 4/5 + (−3/10) = x + 1/2, then what will be the value of x? [RRB NTPC 05/02/2021 (Morning)](a) −2(b) −1(c) 2(d) 1Correct Answer: (b) −1Solution:38. The sum of two numbers is 30. If the sum of their reciprocals is 6/25, find the two numbers. [RRB NTPC 08/02/2021 (Morning)](a) 7 and 23(b) 5 and 25(c) 11 and 19(d) 9 and 21Correct Answer: (b) 5 and 25Solution:39. The sum of two numbers is 20 and their product is 96. What is the difference between the two numbers? [RRB NTPC 08/02/2021 (Evening) ](a) 4(b) 5(c) 8(d) 6Correct Answer: (a) 4Solution:40. Find the value of X if [RRB NTPC 08/02/2021 (Evening) ](a) 30(b) 16(c) 25(d) 20Correct Answer: (c) 25Solution:Submit Quiz« Previous12345Next »