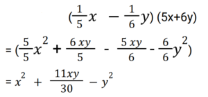
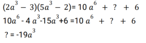
Algebra (Railway Maths) (Part – VII)Total Questions: 5041. If x × y = x + y + √(xy), then the value of 6 × 24 will be: [RRB NTPC 08/02/2021 (Evening)](a) 43(b) 41(c) 42(d) 44Correct Answer: (c) 42Solution:42. The roots of the equation x² − 7x + 12 = 0 are: [RRB NTPC 08/02/2021 (Evening)](a) 3, 4(b) 5, 6(c) 2, 3(d) 7, 8Correct Answer: (a) 3, 4Solution:43. Solve the following: (1/5 x − 1/6 y)(5x + 6y) = ? [RRB NTPC 09/02/2021 (Morning)](a) x² + 11xy/30 − y²(b) x + 11xy/30 − y²(c) x² + 11xy/30 − y(d) y²Correct Answer: (a) x² + 11xy/30 − y²Solution:44. If a + b + c = 8 and both b and c are positive integers greater than zero, then the maximum value ‘a’ can take is: [RRB NTPC 09/02/2021 (Evening) ](a) 6(b) 10(c) 8(d) 0Correct Answer: (a) 6Solution:a + b + c = 8 b and c are greater than 0. For maximum value of a take b and c is equal to 1 a = 8 - 2 = 645. If 1.5x = 0.04y, then what will be the value of (y - x / y + x) ? [RRB NTPC 10/02/2021 (Morning) ](a) 73 / 77(b) 70 / 77(c) 77 / 73(d) 72 / 77Correct Answer: (a) 73 / 77Solution:46. If 3a = 4b = 6c and a + b + c = 27√29, then what will be the value of √(a² + b² + c²)? [RRB NTPC 10/02/2021 (Morning)](a) 3√81(b) 81(c) 85(d) 87Correct Answer: (d) 87Solution:47. Select the term that can replace the question mark (?) in the following equation. (2a³ − 3)(5a³ − 2) = 10a⁶ + ? + 6 [RRB NTPC 10/02/2021 (Morning)](a) 19a²(b) −19a³(c) 19a³(d) 19Correct Answer: (b) −19a³Solution:48. If 144 / 0.144 = 14.4 / x, then what is the value of x? [RRB NTPC 10/02/2021 (Evening)](a) 0.144(b) 0.01044(c) 0.0144(d) 0.00144Correct Answer: (c) 0.0144Solution:49. If x / y = 6 / 5, then the value of (x² + y²) / (x² − y²) is [RRB NTPC 11/02/2021 (Morning)](a) 61/11(b) 60/11(c) 11/61(d) 60/34Correct Answer: (a) 61/11Solution:50. If x = (√3 + 1) / (√3 − 1) and y = (√3 − 1) / (√3 + 1), then the value of x² + y² is: [RRB NTPC 11/02/2021 (Evening)](a) 14(b) 13(c) 10(d) 15Correct Answer: (a) 14Solution:Submit Quiz« Previous12345