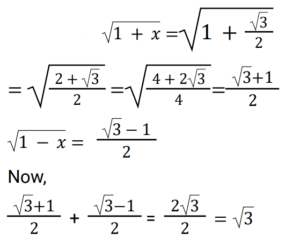
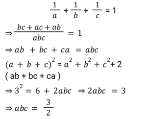
Algebra (Railway Maths) (Part – VIII)Total Questions: 5011. Solve the given equation. [RRB NTPC 16/02/2021 (Evening) ](a)(b)(c)(d)Correct Answer: (a)Solution:12. If a² + b² + c² + 3 = 2(a + b + c), then the value of (a + b + c) is: [RRB NTPC 17/02/2021 (Morning)](a) 2(b) 3(c) 5(d) 4Correct Answer: (b) 3Solution:13. If x³ − 9x² − 26x − 24 = 0, then which of the values of x given in the options will provide an INCORRECT solution to the given equation? [RRB NTPC 17/02/2021 (Evening)](a) 3(b) 4(c) 2(d) 1Correct Answer: (d) 1Solution:14. If x² − 3x + 1 = 0, then the value of x² + x + (1/x) + (1/x²) is: [RRB NTPC 22/02/2021 (Evening)](a) 2(b) 10(c) 6(d) 8Correct Answer: (b) 10Solution:15. If x = (√5 + 1) / (√5 − 1) and y = 1/x, then what will be the value of x² + y²? [RRB NTPC 22/02/2021 (Evening)](a) 4(b) 6(c) 7(d) 5Correct Answer: (c) 7Solution:16. If a = 0.1 + √0.9 and b = 0.1 − √0.9, then what will be the value of a² + b²? [RRB NTPC 22/02/2021 (Evening)](a) 2.82(b) 1.82(c) 1.9(d) 2Correct Answer: (b) 1.82Solution:17. If x = √3 / 2, then find the value of √(1 + x) + √(1 − x). [RRB NTPC 27/02/2021 (Morning)](a) 2 + √3(b) 2 − √3(c) √3 / 2(d) √3Correct Answer: (d) √3Solution:18. If a + b + c = 3, a² + b² + c² = 6 and 1/a + 1/b + 1/c = 1, where a, b and c ≠ 0, then abc = ? [RRB NTPC 27/02/2021 (Morning)](a) 1(b) 5/2(c) 1/2(d) 3/2Correct Answer: (d) 3/2Solution:19. If a = 2b = 3c and a + b + c = 121, then √(a² + b² + c²) is: [RRB NTPC 27/02/2021 (Evening)](a) 75(b) 77(c) 73(d) 72Correct Answer: (b) 77Solution:20. If x + y + z = 0, then the value of x²/yz + y²/zx + z²/xy is: [RRB NTPC 27/02/2021 (Evening)](a) 2(b) 4(c) 3(d) 1Correct Answer: (c) 3Solution:Submit Quiz« Previous12345Next »