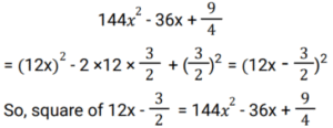
Algebra (SSC) (Part-10)Total Questions: 501. Solve the following equation: [SSC CHSL 26/05/2022 (Morning)](a) 18(b) 15(c) 16(d) 17Correct Answer: (a) 18Solution:2. Solve the following equation: [SSC CHSL 26/05/2022 (Afternoon)](a) 10(b) 1(c) 18(d) 16Correct Answer: (c) 18Solution:3. Solve the following equation: [SSC CHSL 26/05/2022 (Afternoon)] (a)(b)(c)(d)Correct Answer: (b)Solution:4. Solve the equation: [SSC CHSL 26/05/2022 (Evening)] (a)(b)(c)(d)Correct Answer: (a)Solution:5. If 1 + 𝓍² + 𝓍⁴ = 585 and 1 - 𝓍 + 𝓍² = 65, then find the value of 1 + 𝓍 + 𝓍² . [SSC CHSL 26/05/2022 (Evening)](a) 8(b) 7(c) 6(d) 9Correct Answer: (d) 9Solution:6. If a = 2022, b = 2021 and c = 2020, then value of a² + b² + c² – ab – bc - ca is: [SSC CHSL 26/05/2022 (Evening)](a) 2(b) 4(c) 3(d) 1Correct Answer: (c) 3Solution:7. If 𝓍² + 4y² = 40, 𝓍y = 6, and x > 2y, then the value of x - 2y is: [SSC CHSL 27/05/2022 (Morning)](a) 1(b) 3(c) 2(d) 4Correct Answer: (d) 4Solution:8. If 𝓍² - 8𝓍 + 1 = 0, what is the value of 𝓍⁸ - 3842𝓍⁴ + 1 ? [SSC CHSL 27/05/2022 (Morning)](a) − 1(b) 0(c) 2(d) 1Correct Answer: (b) 0Solution:9. 144𝓍² - 36𝓍 + 9/4 can be expressed as the square of _______ . [SSC CHSL 27/05/2022 (Evening)](a)(b)(c)(d)Correct Answer: (c)Solution:10. The sum of two numbers is 17 and their product is 34. Find the sum of their squares. [SSC CHSL 30/05/2022 (Morning)](a) 224(b) 221(c) 225(d) 222Correct Answer: (b) 221Solution:Submit Quiz12345Next »