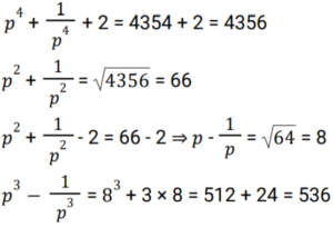
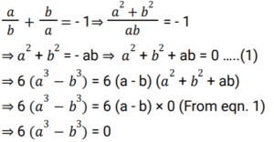
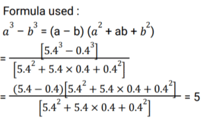
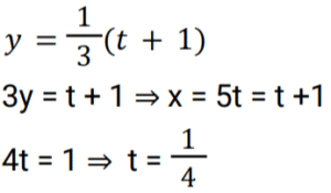
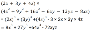
Algebra (SSC) (Part-10)Total Questions: 5011. If 8๐ยณ + 27๐ยณ + 64zยณ = 72xyz, then the relation between x, y and z can be : [SSC CHSL 30/05/2022 (Morning)](a) 2x + 3y = โ 4z(b) 2x + y + z = 0(c) 2x โ 3y + 4z = 0(d) 2x + 3y = 4zCorrect Answer: (a) 2x + 3y = โ 4zSolution:12. The value of: [SSC CHSL 30/05/2022 (Morning)](a) 5(b) 7(c) 3(d) 1Correct Answer: (a) 5Solution:13. If x = 9, then the value of ๐โต - 10๐โด + 10๐ยณ - 10๐ยฒ + 10๐ - 1 is: [SSC CHSL 30/05/2022 (Afternoon)](a) 10(b) 8(c) 9(d) 1Correct Answer: (b) 8Solution:14. If pยณ + 3pยฒ + 3p = 26, then the value of pยฒ + 2p is ? [SSC CHSL 30/05/2022 (Evening)](a) 8(b) 12(c) 10(d) 15Correct Answer: (a) 8Solution:15. Solve the following equation: [SSC CHSL 31/05/2022 (Morning)](a) 6(b) 3(c) 0(d) 1Correct Answer: (c) 0Solution:16. Solve the following equation: [SSC CHSL 31/05/2022 (Morning)](a) 536(b) 436(c) 416(d) 516Correct Answer: (a) 536Solution:17. If x + y = 14, then the value of ๐ยณ + yยณ + 42๐y is: [SSC CHSL 31/05/2022 (Morning)](a) 2744(b) 2644(c) 2742(d) 2714Correct Answer: (a) 2744Solution:18. Solve the following equation: [SSC CHSL 31/05/2022 (Afternoon)](a) 1/3(b) 1/2(c) 1/4(d) 1/5Correct Answer: (c) 1/4Solution:19. Solve the following equation: [SSC CHSL 31/05/2022 (Afternoon)](a) 15127(b) 15134(c) 15141(d) 15130Correct Answer: (a) 15127Solution:20. (2๐ฅ + 3๐ฆ + 4๐ง)(4๐ฅยฒ + 9๐ฆยฒ + 16zยฒ - 6๐ฅy - 12yz - 8๐ฅz) = ? [SSC CHSL 31/05/2022 (Afternoon)](a) 8๐ฅยณ + 27๐ฆยณ + 64๐งยณ + 72๐ฅ๐ฆ(b) 8๐ฅยณ + 27๐ฆยณ + 64๐งยณ โ 72๐ฅ๐ฆ(c) 8๐ฅยณ + 27๐ฆยณ - 64๐งยณ + 72๐ฅ๐ฆ(d) 8๐ฅยณ - 27๐ฆยณ - 64๐งยณ โ 72๐ฅ๐ฆCorrect Answer: (b) 8๐ฅยณ + 27๐ฆยณ + 64๐งยณ โ 72๐ฅ๐ฆSolution:Submit Quiz« Previous12345Next »